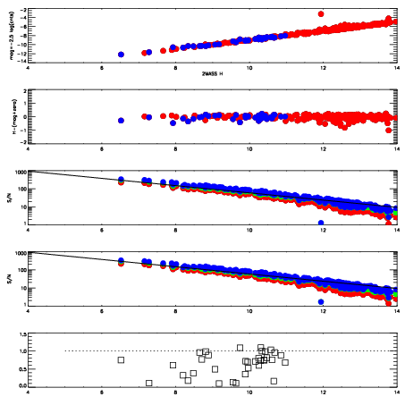
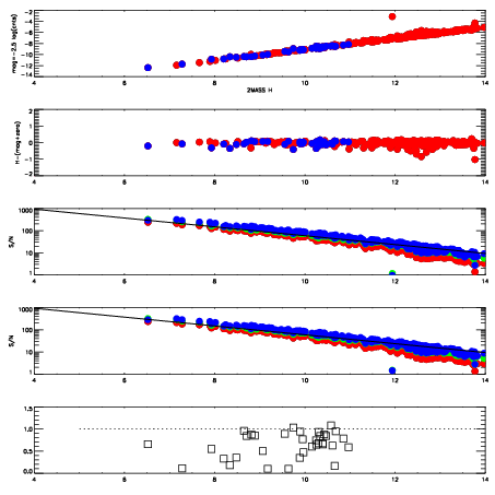
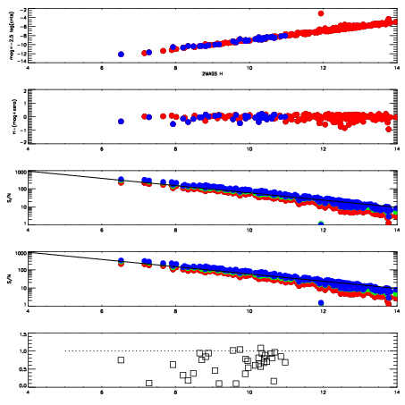
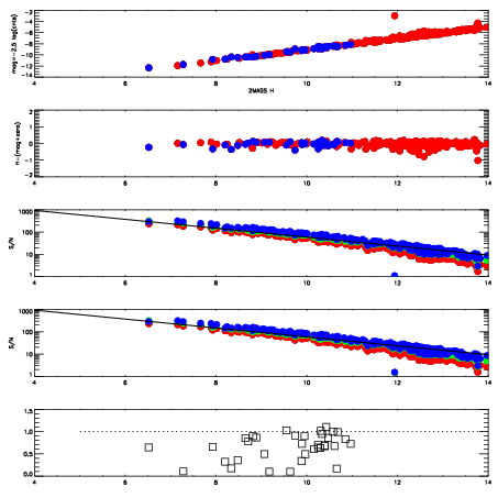
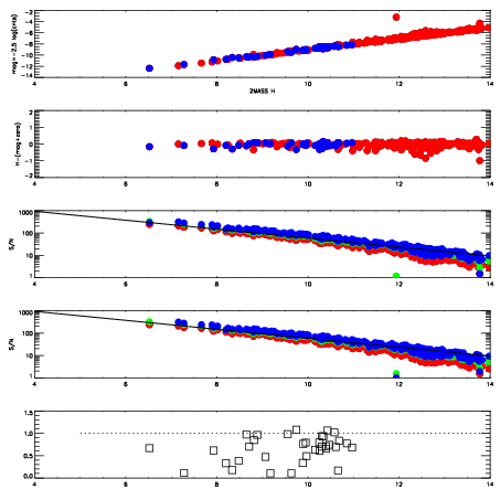
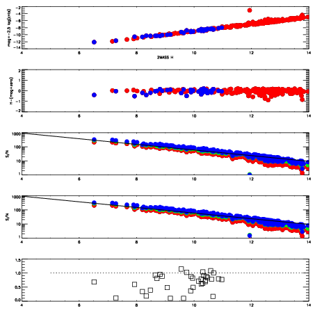
| Frame | Nreads | Zeropoints | Mag plots
| Spatial mag deviation
| Spatial sky 16325A emission deviations (filled: sky, open: star)
| Spatial sky continuum emission
| Spatial sky telluric CO2 absorption deviations (filled: H < 10)
|
| 5190037
| 47
| | Red | Green | Blue
| | z | | 19.04
| | znorm | | 14.86
| | sky | 13.2 | 13.1 | 13.0
| | S/N | 14.7 | 23.3 | 25.8
| | S/N(c) | 13.2 | 21.1 | 23.8
| | SN(E/C) | 0.70
|
|
|
|
|
|
|
| 5190038
| 47
| | Red | Green | Blue
| | z | | 19.04
| | znorm | | 14.86
| | sky | 13.2 | 13.1 | 13.1
| | S/N | 14.9 | 23.2 | 26.3
| | S/N(c) | 13.2 | 21.0 | 24.3
| | SN(E/C) | 0.71
|
|
|
|
|
|
|
| 5190039
| 47
| | Red | Green | Blue
| | z | | 19.08
| | znorm | | 14.90
| | sky | 13.1 | 13.1 | 13.1
| | S/N | 15.0 | 23.6 | 26.9
| | S/N(c) | 13.4 | 21.3 | 24.9
| | SN(E/C) | 0.68
|
|
|
|
|
|
|
| 5190040
| 47
| | Red | Green | Blue
| | z | | 19.06
| | znorm | | 14.88
| | sky | 13.2 | 13.0 | 13.0
| | S/N | 14.8 | 23.2 | 27.0
| | S/N(c) | 13.3 | 21.2 | 24.9
| | SN(E/C) | 0.69
|
|
|
|
|
|
|
| 5190041
| 47
| | Red | Green | Blue
| | z | | 18.99
| | znorm | | 14.81
| | sky | 13.1 | 13.0 | 13.0
| | S/N | 14.3 | 22.5 | 25.9
| | S/N(c) | 12.6 | 20.3 | 23.9
| | SN(E/C) | 0.71
|
|
|
|
|
|
|
| 5190042
| 47
| | Red | Green | Blue
| | z | | 18.98
| | znorm | | 14.80
| | sky | 13.1 | 13.0 | 13.0
| | S/N | 14.0 | 22.3 | 25.0
| | S/N(c) | 12.4 | 20.2 | 23.4
| | SN(E/C) | 0.73
|
|
|
|
|
|
|
| 5190043
| 47
| | Red | Green | Blue
| | z | | 19.01
| | znorm | | 14.83
| | sky | 13.1 | 13.0 | 13.1
| | S/N | 14.3 | 22.6 | 24.9
| | S/N(c) | 12.8 | 20.5 | 23.4
| | SN(E/C) | 0.73
|
|
|
|
|
|
|
| 5190044
| 47
| | Red | Green | Blue
| | z | | 19.01
| | znorm | | 14.83
| | sky | 13.0 | 13.0 | 13.0
| | S/N | 14.2 | 22.3 | 24.7
| | S/N(c) | 12.9 | 20.3 | 23.3
| | SN(E/C) | 0.77
|
|
|
|
|
|
|