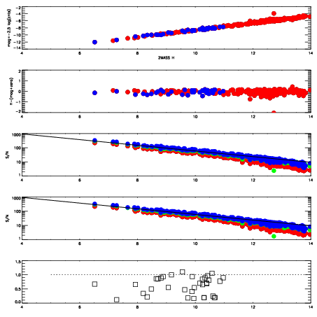
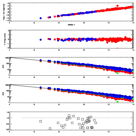
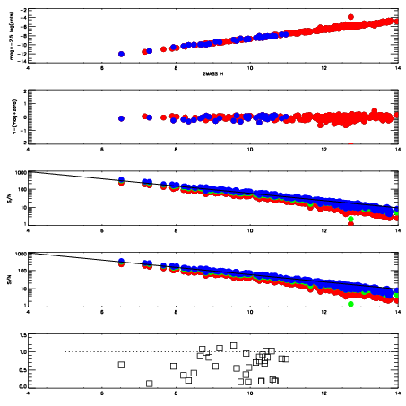
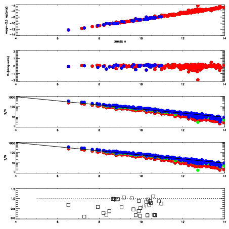
| Frame | Nreads | Zeropoints | Mag plots
| Spatial mag deviation
| Spatial sky 16325A emission deviations (filled: sky, open: star)
| Spatial sky continuum emission
| Spatial sky telluric CO2 absorption deviations (filled: H < 10)
|
| 5490022
| 47
| | Red | Green | Blue
| | z | | 18.80
| | znorm | | 14.62
| | sky | 14.0 | 13.6 | 13.5
| | S/N | 13.1 | 19.6 | 21.6
| | S/N(c) | 11.7 | 18.2 | 20.5
| | SN(E/C) | 0.66
|
|
|
|
|
|
|
| 5490023
| 47
| | Red | Green | Blue
| | z | | 18.75
| | znorm | | 14.57
| | sky | 13.9 | 13.7 | 13.8
| | S/N | 12.5 | 19.5 | 21.6
| | S/N(c) | 11.3 | 18.2 | 20.4
| | SN(E/C) | 0.67
|
|
|
|
|
|
|
| 5490024
| 47
| | Red | Green | Blue
| | z | | 18.73
| | znorm | | 14.55
| | sky | 14.0 | 13.9 | 13.9
| | S/N | 12.3 | 19.6 | 22.2
| | S/N(c) | 11.1 | 18.2 | 20.8
| | SN(E/C) | 0.62
|
|
|
|
|
|
|
| 5490025
| 47
| | Red | Green | Blue
| | z | | 18.68
| | znorm | | 14.50
| | sky | 14.1 | 13.9 | 14.0
| | S/N | 12.2 | 18.6 | 21.2
| | S/N(c) | 10.8 | 17.4 | 19.7
| | SN(E/C) | 0.68
|
|
|
|
|
|
|
| 5490026
| 47
| | Red | Green | Blue
| | z | | 18.68
| | znorm | | 14.50
| | sky | 14.1 | 14.0 | 14.1
| | S/N | 12.0 | 19.2 | 21.3
| | S/N(c) | 10.6 | 17.7 | 20.1
| | SN(E/C) | 0.67
|
|
|
|
|
|
|
| 5490027
| 47
| | Red | Green | Blue
| | z | | 18.63
| | znorm | | 14.45
| | sky | 14.1 | 14.1 | 14.1
| | S/N | 11.9 | 18.6 | 21.1
| | S/N(c) | 10.4 | 17.1 | 19.6
| | SN(E/C) | 0.69
|
|
|
|
|
|
|
| 5490028
| 47
| | Red | Green | Blue
| | z | | 18.74
| | znorm | | 14.56
| | sky | 14.2 | 14.0 | 14.1
| | S/N | 12.6 | 20.0 | 22.1
| | S/N(c) | 11.2 | 18.5 | 20.8
| | SN(E/C) | 0.66
|
|
|
|
|
|
|
| 5490029
| 47
| | Red | Green | Blue
| | z | | 18.48
| | znorm | | 14.29
| | sky | 14.1 | 14.1 | 14.0
| | S/N | 10.5 | 16.9 | 18.8
| | S/N(c) | 9.2 | 15.7 | 17.7
| | SN(E/C) | 0.73
|
|
|
|
|
|
|