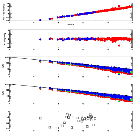
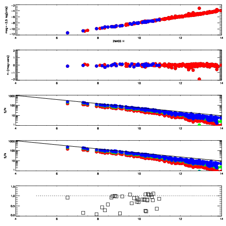
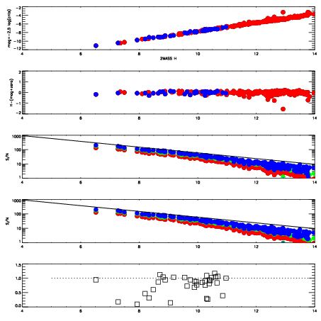
| Frame | Nreads | Zeropoints | Mag plots
| Spatial mag deviation
| Spatial sky 16325A emission deviations (filled: sky, open: star)
| Spatial sky continuum emission
| Spatial sky telluric CO2 absorption deviations (filled: H < 10)
|
| 5210037
| 47
| | Red | Green | Blue
| | z | | 18.03
| | znorm | | 13.85
| | sky | 13.2 | 13.0 | 13.0
| | S/N | 7.9 | 12.4 | 15.4
| | S/N(c) | 6.8 | 11.5 | 14.8
| | SN(E/C) | 0.83
|
|
|
|
|
|
|
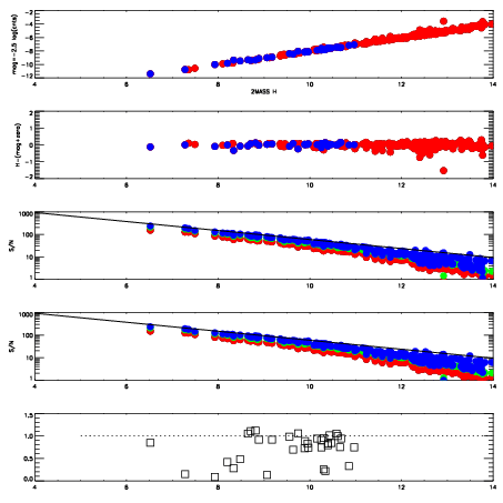
| 5210038
| 47
| | Red | Green | Blue
| | z | | 18.14
| | znorm | | 13.96
| | sky | 13.0 | 12.9 | 13.0
| | S/N | 8.0 | 13.1 | 15.8
| | S/N(c) | 6.9 | 11.8 | 14.7
| | SN(E/C) | 0.87
|
|
|
|
|
|
|
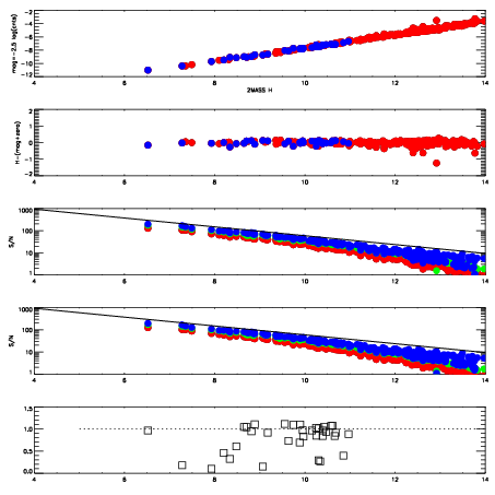
| 5210039
| 47
| | Red | Green | Blue
| | z | | 17.91
| | znorm | | 13.73
| | sky | 13.3 | 13.1 | 13.2
| | S/N | 6.9 | 11.5 | 14.4
| | S/N(c) | 5.9 | 10.3 | 13.4
| | SN(E/C) | 0.88
|
|
|
|
|
|
|
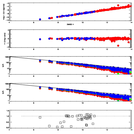
| 5210040
| 47
| | Red | Green | Blue
| | z | | 17.90
| | znorm | | 13.72
| | sky | 13.4 | 13.3 | 13.3
| | S/N | 6.8 | 11.6 | 14.2
| | S/N(c) | 5.8 | 10.2 | 13.3
| | SN(E/C) | 0.84
|
|
|
|
|
|
|
| 5210041
| 47
| | Red | Green | Blue
| | z | | 17.68
| | znorm | | 13.50
| | sky | 13.6 | 13.4 | 13.4
| | S/N | 5.7 | 10.0 | 12.8
| | S/N(c) | 5.0 | 8.8 | 11.8
| | SN(E/C) | 0.90
|
|
|
|
|
|
|
| 5210042
| 47
| | Red | Green | Blue
| | z | | 17.68
| | znorm | | 13.50
| | sky | 13.6 | 13.5 | 13.5
| | S/N | 5.7 | 9.9 | 12.8
| | S/N(c) | 4.8 | 9.0 | 11.6
| | SN(E/C) | 0.91
|
|
|
|
|
|
|
| 5210043
| 47
| | Red | Green | Blue
| | z | | 17.94
| | znorm | | 13.76
| | sky | 13.6 | 13.5 | 13.5
| | S/N | 7.1 | 12.4 | 13.9
| | S/N(c) | 6.0 | 11.0 | 13.0
| | SN(E/C) | 0.82
|
|
|
|
|
|
|
| 5210044
| 47
| | Red | Green | Blue
| | z | | 17.75
| | znorm | | 13.57
| | sky | 13.5 | 13.5 | 13.6
| | S/N | 5.9 | 10.6 | 12.8
| | S/N(c) | 5.2 | 9.6 | 11.6
| | SN(E/C) | 0.87
|
|
|
|
|
|
|