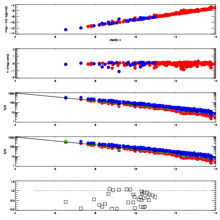
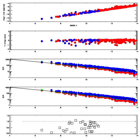
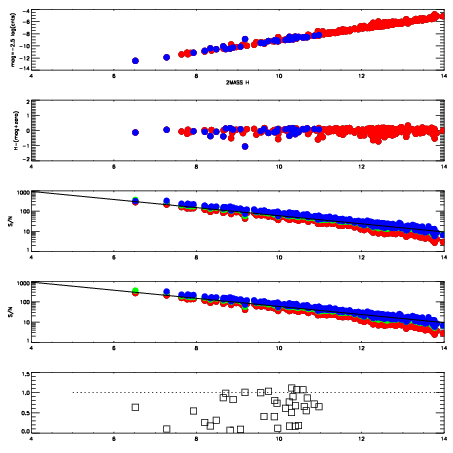
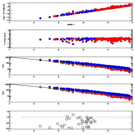
| Frame | Nreads | Zeropoints | Mag plots
| Spatial mag deviation
| Spatial sky 16325A emission deviations (filled: sky, open: star)
| Spatial sky continuum emission
| Spatial sky telluric CO2 absorption deviations (filled: H < 10)
|
| 5240041
| 47
| | Red | Green | Blue
| | z | | 19.09
| | znorm | | 14.91
| | sky | 14.7 | 14.4 | 14.5
| | S/N | 16.4 | 23.9 | 30.2
| | S/N(c) | 14.8 | 22.7 | 28.4
| | SN(E/C) | 0.62
|
|
|
|
|
|
|
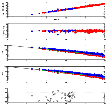
| 5240042
| 47
| | Red | Green | Blue
| | z | | 19.10
| | znorm | | 14.92
| | sky | 14.3 | 14.4 | 14.7
| | S/N | 16.4 | 23.8 | 30.0
| | S/N(c) | 14.8 | 22.6 | 28.3
| | SN(E/C) | 0.65
|
|
|
|
|
|
|
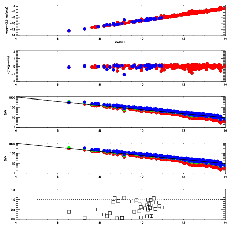
| 5240043
| 47
| | Red | Green | Blue
| | z | | 19.15
| | znorm | | 14.96
| | sky | 14.5 | 14.4 | 14.7
| | S/N | 16.7 | 24.3 | 30.5
| | S/N(c) | 15.2 | 23.2 | 28.6
| | SN(E/C) | 0.59
|
|
|
|
|
|
|
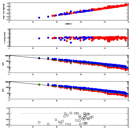
| 5240044
| 47
| | Red | Green | Blue
| | z | | 19.15
| | znorm | | 14.96
| | sky | 14.4 | 14.5 | 14.7
| | S/N | 16.6 | 24.4 | 30.6
| | S/N(c) | 14.9 | 23.2 | 28.7
| | SN(E/C) | 0.62
|
|
|
|
|
|
|
| 5240045
| 47
| | Red | Green | Blue
| | z | | 19.18
| | znorm | | 15.00
| | sky | 14.5 | 14.5 | 14.9
| | S/N | 16.8 | 24.6 | 30.8
| | S/N(c) | 15.3 | 23.5 | 29.1
| | SN(E/C) | 0.59
|
|
|
|
|
|
|
| 5240046
| 47
| | Red | Green | Blue
| | z | | 19.20
| | znorm | | 15.02
| | sky | 14.4 | 14.5 | 14.6
| | S/N | 16.9 | 24.8 | 30.8
| | S/N(c) | 15.3 | 23.7 | 29.1
| | SN(E/C) | 0.60
|
|
|
|
|
|
|
| 5240047
| 47
| | Red | Green | Blue
| | z | | 19.19
| | znorm | | 15.01
| | sky | 14.5 | 14.5 | 14.6
| | S/N | 16.6 | 24.5 | 30.6
| | S/N(c) | 14.9 | 23.4 | 28.8
| | SN(E/C) | 0.57
|
|
|
|
|
|
|
| 5240048
| 47
| | Red | Green | Blue
| | z | | 19.21
| | znorm | | 15.03
| | sky | 14.2 | 14.6 | 14.8
| | S/N | 16.6 | 24.7 | 30.7
| | S/N(c) | 15.2 | 23.6 | 28.9
| | SN(E/C) | 0.61
|
|
|
|
|
|
|