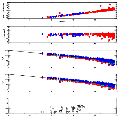
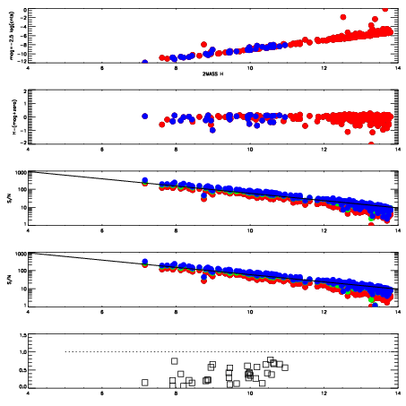
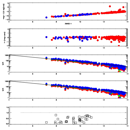
| Frame | Nreads | Zeropoints | Mag plots
| Spatial mag deviation
| Spatial sky 16325A emission deviations (filled: sky, open: star)
| Spatial sky continuum emission
| Spatial sky telluric CO2 absorption deviations (filled: H < 10)
|
| 5200025
| 47
| | Red | Green | Blue
| | z | | 18.98
| | znorm | | 14.80
| | sky | 13.7 | 13.6 | 13.4
| | S/N | 15.9 | 25.8 | 26.3
| | S/N(c) | 14.0 | 24.4 | 26.2
| | SN(E/C) | 0.43
|
|
|
|
|
|
|
| 5200026
| 47
| | Red | Green | Blue
| | z | | 19.04
| | znorm | | 14.86
| | sky | 14.1 | 13.9 | 13.8
| | S/N | 16.8 | 27.4 | 28.6
| | S/N(c) | 14.6 | 25.7 | 28.1
| | SN(E/C) | 0.41
|
|
|
|
|
|
|
| 5200027
| 47
| | Red | Green | Blue
| | z | | 19.06
| | znorm | | 14.88
| | sky | 14.1 | 14.0 | 13.9
| | S/N | 17.0 | 27.9 | 29.0
| | S/N(c) | 15.2 | 26.2 | 28.5
| | SN(E/C) | 0.39
|
|
|
|
|
|
|
| 5200028
| 47
| | Red | Green | Blue
| | z | | 19.03
| | znorm | | 14.85
| | sky | 14.1 | 14.1 | 13.9
| | S/N | 16.9 | 27.5 | 28.4
| | S/N(c) | 14.8 | 25.8 | 28.0
| | SN(E/C) | 0.38
|
|
|
|
|
|
|
| 5200029
| 47
| | Red | Green | Blue
| | z | | 19.05
| | znorm | | 14.87
| | sky | 14.1 | 14.2 | 14.0
| | S/N | 17.1 | 27.8 | 28.8
| | S/N(c) | 15.1 | 26.3 | 28.1
| | SN(E/C) | 0.42
|
|
|
|
|
|
|
| 5200030
| 47
| | Red | Green | Blue
| | z | | 19.03
| | znorm | | 14.85
| | sky | 14.0 | 14.2 | 14.1
| | S/N | 16.8 | 27.7 | 28.7
| | S/N(c) | 14.9 | 26.1 | 28.1
| | SN(E/C) | 0.40
|
|
|
|
|
|
|
| 5200031
| 47
| | Red | Green | Blue
| | z | | 19.01
| | znorm | | 14.83
| | sky | 14.0 | 14.2 | 14.1
| | S/N | 16.5 | 27.3 | 28.3
| | S/N(c) | 14.7 | 25.7 | 27.9
| | SN(E/C) | 0.40
|
|
|
|
|
|
|
| 5200032
| 47
| | Red | Green | Blue
| | z | | 19.00
| | znorm | | 14.82
| | sky | 14.3 | 14.2 | 14.1
| | S/N | 16.5 | 27.2 | 27.8
| | S/N(c) | 14.6 | 25.7 | 27.4
| | SN(E/C) | 0.40
|
|
|
|
|
|
|