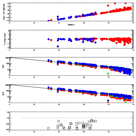
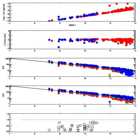
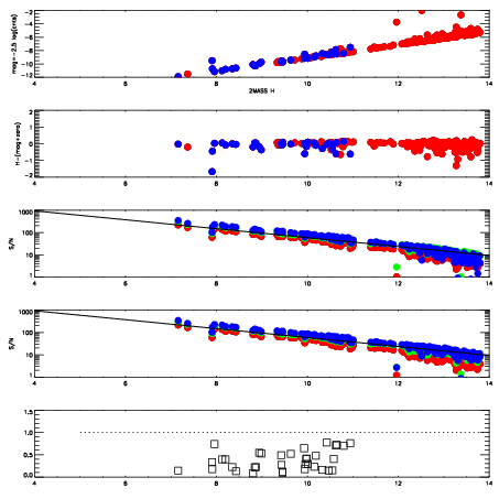
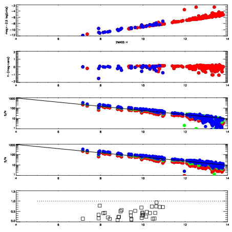
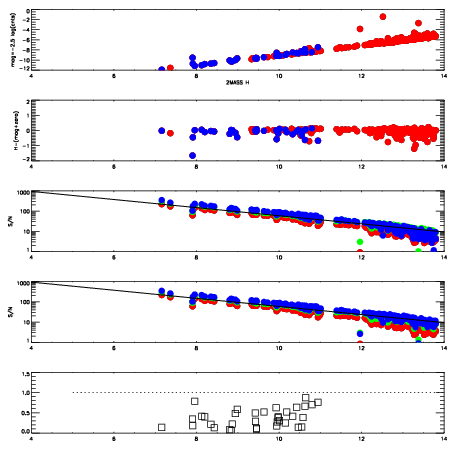
| Frame | Nreads | Zeropoints | Mag plots
| Spatial mag deviation
| Spatial sky 16325A emission deviations (filled: sky, open: star)
| Spatial sky continuum emission
| Spatial sky telluric CO2 absorption deviations (filled: H < 10)
|
| 4890051
| 47
| | Red | Green | Blue
| | z | | 18.98
| | znorm | | 14.80
| | sky | 14.5 | 14.4 | 13.4
| | S/N | 16.4 | 26.5 | 23.0
| | S/N(c) | 14.7 | 25.0 | 26.9
| | SN(E/C) | 0.39
|
|
|
|
|
|
|
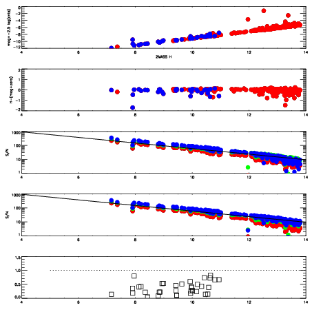
| 4890052
| 47
| | Red | Green | Blue
| | z | | 19.04
| | znorm | | 14.86
| | sky | 14.5 | 14.4 | 13.6
| | S/N | 16.3 | 27.3 | 24.9
| | S/N(c) | 14.6 | 25.7 | 27.7
| | SN(E/C) | 0.40
|
|
|
|
|
|
|
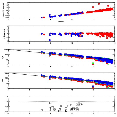
| 4890053
| 47
| | Red | Green | Blue
| | z | | 19.07
| | znorm | | 14.89
| | sky | 14.5 | 14.5 | 13.7
| | S/N | 17.1 | 28.0 | 25.9
| | S/N(c) | 15.3 | 26.3 | 28.4
| | SN(E/C) | 0.38
|
|
|
|
|
|
|
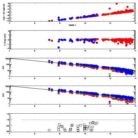
| 4890054
| 47
| | Red | Green | Blue
| | z | | 19.10
| | znorm | | 14.92
| | sky | 14.6 | 14.5 | 13.8
| | S/N | 17.1 | 28.5 | 27.0
| | S/N(c) | 15.2 | 26.8 | 28.9
| | SN(E/C) | 0.39
|
|
|
|
|
|
|
| 4890055
| 47
| | Red | Green | Blue
| | z | | 19.04
| | znorm | | 14.86
| | sky | 14.7 | 14.7 | 13.9
| | S/N | 16.4 | 27.7 | 26.3
| | S/N(c) | 14.6 | 26.3 | 28.3
| | SN(E/C) | 0.39
|
|
|
|
|
|
|
| 4890056
| 47
| | Red | Green | Blue
| | z | | 19.09
| | znorm | | 14.91
| | sky | 15.1 | 14.7 | 13.9
| | S/N | 17.1 | 28.6 | 27.3
| | S/N(c) | 15.2 | 27.0 | 29.0
| | SN(E/C) | 0.38
|
|
|
|
|
|
|
| 4890057
| 47
| | Red | Green | Blue
| | z | | 19.07
| | znorm | | 14.89
| | sky | 14.7 | 14.7 | 13.9
| | S/N | 16.6 | 28.3 | 27.2
| | S/N(c) | 14.7 | 26.7 | 28.6
| | SN(E/C) | 0.34
|
|
|
|
|
|
|
| 4890058
| 47
| | Red | Green | Blue
| | z | | 19.10
| | znorm | | 14.92
| | sky | 14.6 | 14.7 | 14.0
| | S/N | 16.9 | 28.8 | 27.9
| | S/N(c) | 15.0 | 27.0 | 28.9
| | SN(E/C) | 0.39
|
|
|
|
|
|
|