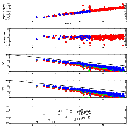
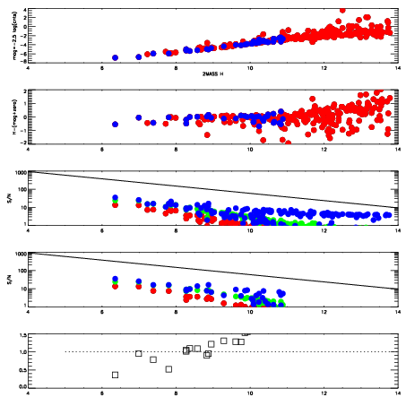
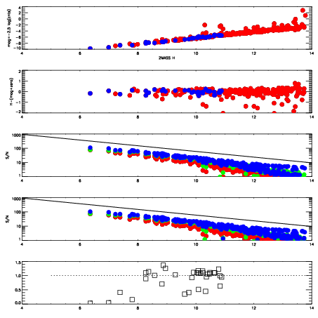
| Frame | Nreads | Zeropoints | Mag plots
| Spatial mag deviation
| Spatial sky 16325A emission deviations (filled: sky, open: star)
| Spatial sky continuum emission
| Spatial sky telluric CO2 absorption deviations (filled: H < 10)
|
| 4880048
| 47
| | Red | Green | Blue
| | z | | 16.29
| | znorm | | 12.11
| | sky | 14.2 | 14.1 | 14.3
| | S/N | 1.6 | 3.8 | 6.1
| | S/N(c) | 1.5 | 3.4 | 5.9
| | SN(E/C) | 1.05
|
|
|
|
|
|
|
| 4880049
| 47
| | Red | Green | Blue
| | z | | 13.84
| | znorm | | 9.66
| | sky | 14.2 | 14.4 | 14.9
| | S/N | 0.2 | 0.4 | 3.8
| | S/N(c) | 0.0 | 0.0 | 0.0
| | SN(E/C) | 2.48
|
|
|
|
|
|
|
| 4880050
| 47
| | Red | Green | Blue
| | z | | 16.36
| | znorm | | 12.18
| | sky | 14.5 | 14.4 | 14.7
| | S/N | 2.1 | 4.0 | 6.5
| | S/N(c) | 1.8 | 3.7 | 6.1
| | SN(E/C) | 0.91
|
|
|
|
|
|
|
| 4880051
| 47
| | Red | Green | Blue
| | z | | 16.83
| | znorm | | 12.65
| | sky | 14.3 | 14.5 | 14.9
| | S/N | 2.7 | 5.6 | 7.7
| | S/N(c) | 2.5 | 5.1 | 7.1
| | SN(E/C) | 0.89
|
|
|
|
|
|
|
| 4880052
| 47
| | Red | Green | Blue
| | z | | 15.71
| | znorm | | 11.53
| | sky | 14.7 | 14.7 | 15.2
| | S/N | 1.0 | 2.3 | 5.3
| | S/N(c) | 0.9 | 2.0 | 5.0
| | SN(E/C) | 1.08
|
|
|
|
|
|
|
| 4880053
| 47
| | Red | Green | Blue
| | z | | 13.75
| | znorm | | 9.56
| | sky | 14.7 | 14.8 | 15.5
| | S/N | 0.1 | 0.3 | 3.7
| | S/N(c) | 0.0 | 0.0 | 0.0
| | SN(E/C) | 1.71
|
|
|
|
|
|
|
| 4880054
| 47
| | Red | Green | Blue
| | z | | 13.02
| | znorm | | 8.84
| | sky | 15.0 | 15.0 | 16.1
| | S/N | -0.0 | 0.1 | 3.4
| | S/N(c) | 0.0 | 0.0 | 0.0
| | SN(E/C) | 2.59
|
|
|
|
|
|
|
| 4880055
| 47
| | Red | Green | Blue
| | z | | 12.73
| | znorm | | 8.55
| | sky | 14.9 | 15.3 | 16.0
| | S/N | 0.0 | 0.2 | 3.2
| | S/N(c) | 0.0 | 0.0 | 0.0
| | SN(E/C) | 2.28
|
|
|
|
|
|
|