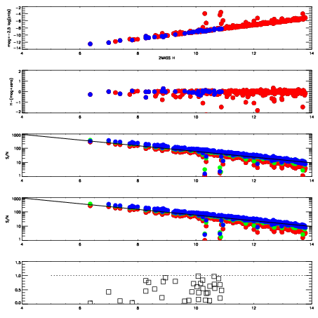
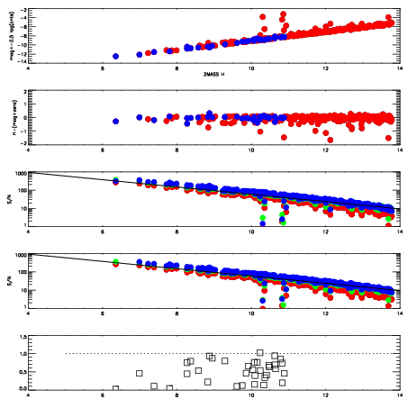
| Frame | Nreads | Zeropoints | Mag plots
| Spatial mag deviation
| Spatial sky 16325A emission deviations (filled: sky, open: star)
| Spatial sky continuum emission
| Spatial sky telluric CO2 absorption deviations (filled: H < 10)
|
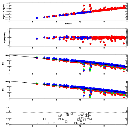
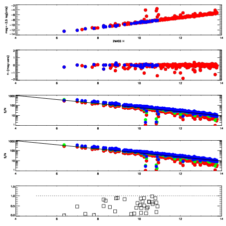
| 4890062
| 47
| | Red | Green | Blue
| | z | | 19.10
| | znorm | | 14.92
| | sky | 14.9 | 14.7 | 14.6
| | S/N | 16.0 | 24.8 | 28.4
| | S/N(c) | 14.5 | 23.6 | 27.5
| | SN(E/C) | 0.55
|
|
|
|
|
|
|
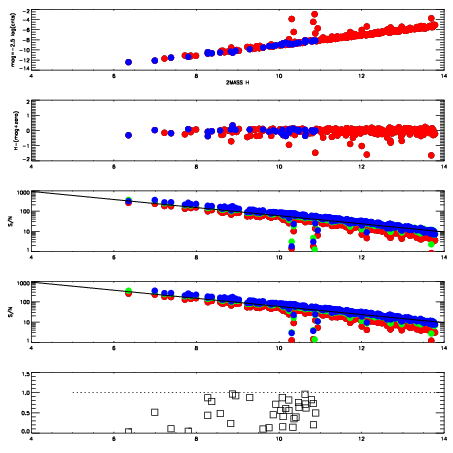
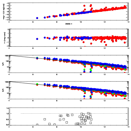
| 4890063
| 47
| | Red | Green | Blue
| | z | | 19.12
| | znorm | | 14.94
| | sky | 14.9 | 14.7 | 14.9
| | S/N | 16.1 | 25.5 | 28.6
| | S/N(c) | 14.4 | 23.9 | 27.4
| | SN(E/C) | 0.52
|
|
|
|
|
|
|
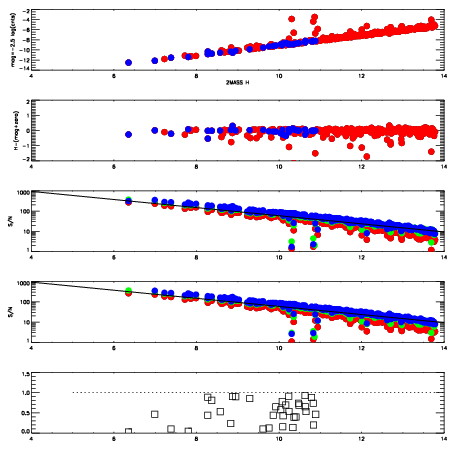
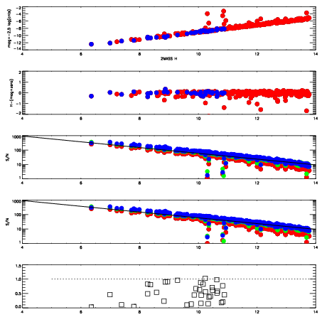
| 4890064
| 47
| | Red | Green | Blue
| | z | | 19.13
| | znorm | | 14.95
| | sky | 14.7 | 14.7 | 14.7
| | S/N | 16.0 | 25.5 | 28.4
| | S/N(c) | 14.7 | 23.9 | 27.4
| | SN(E/C) | 0.53
|
|
|
|
|
|
|
| 4890065
| 47
| | Red | Green | Blue
| | z | | 19.12
| | znorm | | 14.93
| | sky | 14.8 | 14.7 | 14.7
| | S/N | 16.0 | 25.7 | 28.2
| | S/N(c) | 14.5 | 24.1 | 27.1
| | SN(E/C) | 0.53
|
|
|
|
|
|
|
| 4890066
| 47
| | Red | Green | Blue
| | z | | 19.10
| | znorm | | 14.92
| | sky | 14.8 | 14.7 | 14.8
| | S/N | 16.0 | 25.7 | 28.1
| | S/N(c) | 14.4 | 24.0 | 27.0
| | SN(E/C) | 0.53
|
|
|
|
|
|
|
| 4890067
| 47
| | Red | Green | Blue
| | z | | 19.11
| | znorm | | 14.93
| | sky | 14.8 | 14.8 | 14.7
| | S/N | 16.0 | 25.6 | 27.9
| | S/N(c) | 14.5 | 24.0 | 26.9
| | SN(E/C) | 0.54
|
|
|
|
|
|
|
| 4890068
| 47
| | Red | Green | Blue
| | z | | 19.07
| | znorm | | 14.89
| | sky | 14.8 | 14.9 | 14.8
| | S/N | 15.7 | 25.2 | 27.4
| | S/N(c) | 14.2 | 23.7 | 26.3
| | SN(E/C) | 0.52
|
|
|
|
|
|
|
| 4890069
| 47
| | Red | Green | Blue
| | z | | 19.07
| | znorm | | 14.89
| | sky | 14.8 | 14.7 | 14.7
| | S/N | 15.7 | 25.4 | 27.2
| | S/N(c) | 14.1 | 23.7 | 26.1
| | SN(E/C) | 0.56
|
|
|
|
|
|
|