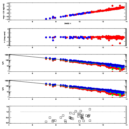
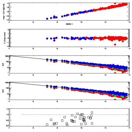
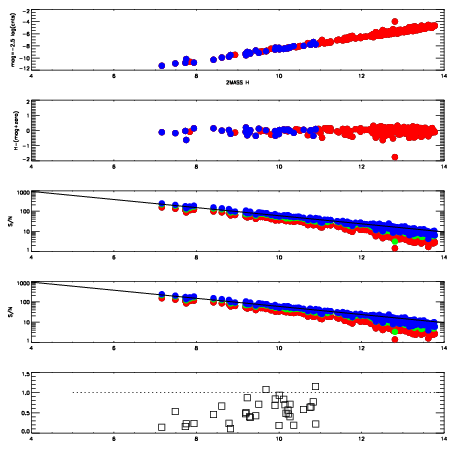
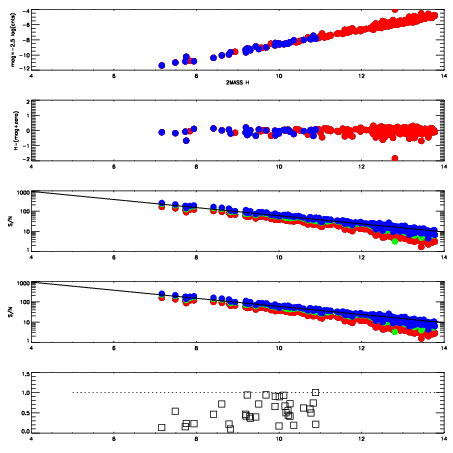
Left plots: red are targets, blue are telluric. Observed mags are calculated from median value of green chip. Zeropoint gives overall throughput: bigger number is more throughput.
First spatial plots: circles are objects, squares are tellurics, crosses are sky fibers. Colors give deviation of observed mag from expected 2MASS mag using the median zeropoint; red is brighter
Second spatial plots: circles are sky fibers. Colors give sky line brightness relative to plate median sky line brightness
FrameNreadsZeropointsMag plots Spatial mag deviation Spatial sky 16325A emission deviations (filled: sky, open: star) Spatial sky continuum emission Spatial sky telluric CO2 absorption deviations (filled: H < 10)
4570047 47
RedGreenBlue
z18.49
znorm14.31
sky 15.1 14.9 14.9
S/N 11.5 19.3 23.3
S/N(c) 10.2 18.6 21.5
SN(E/C) 0.53
4570048 47
RedGreenBlue
z18.65
znorm14.47
sky 15.0 15.1 15.5
S/N 12.6 21.2 25.0
S/N(c) 11.3 19.9 23.3
SN(E/C) 0.49
4570049 47
RedGreenBlue
z18.54
znorm14.36
sky 15.1 14.9 15.5
S/N 11.7 20.0 23.6
S/N(c) 10.4 18.9 22.0
SN(E/C) 0.51
4570050 47
RedGreenBlue
z18.58
znorm14.40
sky 15.4 15.1 15.5
S/N 12.6 21.1 23.9
S/N(c) 11.2 20.1 22.6
SN(E/C) 0.51