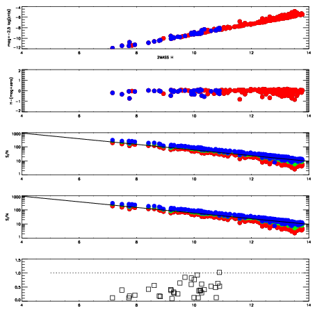
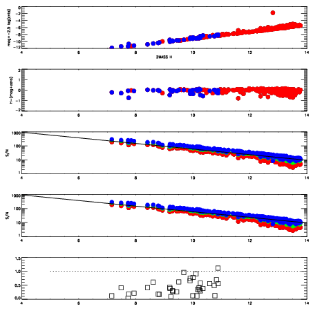
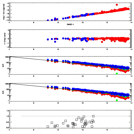
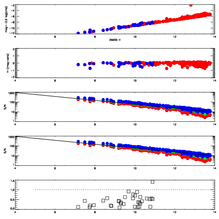
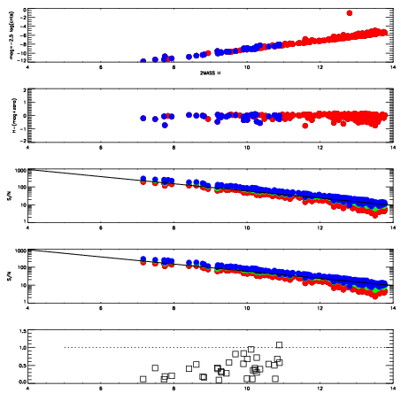
| Frame | Nreads | Zeropoints | Mag plots
| Spatial mag deviation
| Spatial sky 16325A emission deviations (filled: sky, open: star)
| Spatial sky continuum emission
| Spatial sky telluric CO2 absorption deviations (filled: H < 10)
|
| 4600069
| 47
| | Red | Green | Blue
| | z | | 19.17
| | znorm | | 14.99
| | sky | 15.0 | 14.5 | 14.5
| | S/N | 18.0 | 28.7 | 31.1
| | S/N(c) | 16.1 | 27.5 | 29.8
| | SN(E/C) | 0.39
|
|
|
|
|
|
|
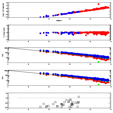
| 4600070
| 47
| | Red | Green | Blue
| | z | | 19.15
| | znorm | | 14.97
| | sky | 14.9 | 14.7 | 15.0
| | S/N | 17.8 | 28.6 | 31.0
| | S/N(c) | 16.1 | 27.2 | 29.7
| | SN(E/C) | 0.40
|
|
|
|
|
|
|
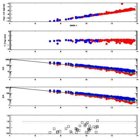
| 4600071
| 47
| | Red | Green | Blue
| | z | | 19.17
| | znorm | | 14.99
| | sky | 15.0 | 14.8 | 15.0
| | S/N | 17.8 | 28.8 | 31.0
| | S/N(c) | 16.0 | 27.6 | 29.7
| | SN(E/C) | 0.40
|
|
|
|
|
|
|
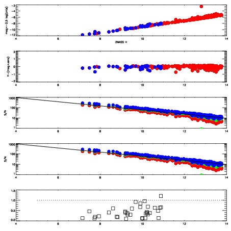
| 4600072
| 47
| | Red | Green | Blue
| | z | | 19.09
| | znorm | | 14.91
| | sky | 14.8 | 14.9 | 15.1
| | S/N | 17.1 | 27.7 | 29.9
| | S/N(c) | 15.4 | 26.4 | 28.4
| | SN(E/C) | 0.39
|
|
|
|
|
|
|
| 4600073
| 47
| | Red | Green | Blue
| | z | | 19.14
| | znorm | | 14.96
| | sky | 14.8 | 14.8 | 15.0
| | S/N | 17.3 | 28.5 | 30.3
| | S/N(c) | 15.5 | 27.2 | 28.9
| | SN(E/C) | 0.41
|
|
|
|
|
|
|
| 4600074
| 47
| | Red | Green | Blue
| | z | | 19.18
| | znorm | | 15.00
| | sky | 15.1 | 14.8 | 15.0
| | S/N | 17.9 | 29.0 | 30.8
| | S/N(c) | 16.0 | 27.7 | 29.4
| | SN(E/C) | 0.40
|
|
|
|
|
|
|
| 4600075
| 47
| | Red | Green | Blue
| | z | | 19.18
| | znorm | | 15.00
| | sky | 14.8 | 14.9 | 15.0
| | S/N | 17.9 | 28.9 | 30.7
| | S/N(c) | 16.1 | 27.5 | 29.4
| | SN(E/C) | 0.39
|
|
|
|
|
|
|
| 4600076
| 47
| | Red | Green | Blue
| | z | | 19.23
| | znorm | | 15.05
| | sky | 15.0 | 14.9 | 15.0
| | S/N | 18.3 | 29.7 | 31.4
| | S/N(c) | 16.5 | 28.3 | 30.0
| | SN(E/C) | 0.39
|
|
|
|
|
|
|