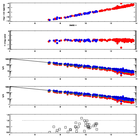
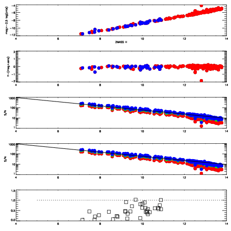
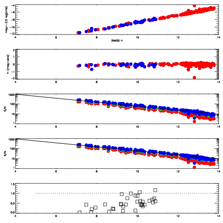
| Frame | Nreads | Zeropoints | Mag plots
| Spatial mag deviation
| Spatial sky 16325A emission deviations (filled: sky, open: star)
| Spatial sky continuum emission
| Spatial sky telluric CO2 absorption deviations (filled: H < 10)
|
| 4630023
| 47
| | Red | Green | Blue
| | z | | 18.64
| | znorm | | 14.46
| | sky | 15.7 | 14.8 | 14.8
| | S/N | 13.2 | 22.0 | 22.7
| | S/N(c) | 11.6 | 20.4 | 21.4
| | SN(E/C) | 0.49
|
|
|
|
|
|
|
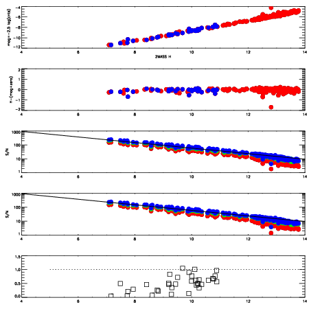
| 4630024
| 47
| | Red | Green | Blue
| | z | | 18.54
| | znorm | | 14.36
| | sky | 15.2 | 14.8 | 15.2
| | S/N | 12.3 | 21.0 | 21.9
| | S/N(c) | 10.7 | 19.4 | 20.5
| | SN(E/C) | 0.49
|
|
|
|
|
|
|
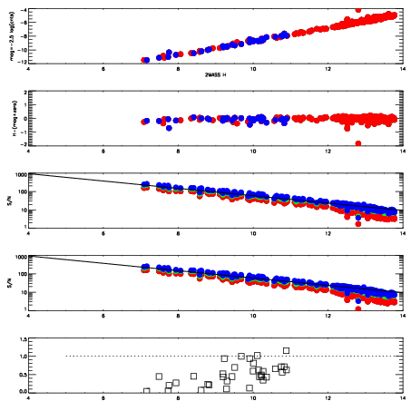
| 4630025
| 47
| | Red | Green | Blue
| | z | | 18.64
| | znorm | | 14.46
| | sky | 15.0 | 14.9 | 15.2
| | S/N | 13.0 | 22.3 | 23.0
| | S/N(c) | 11.6 | 20.8 | 21.7
| | SN(E/C) | 0.49
|
|
|
|
|
|
|
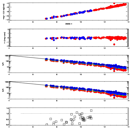
| 4630026
| 47
| | Red | Green | Blue
| | z | | 18.82
| | znorm | | 14.64
| | sky | 15.0 | 15.1 | 15.1
| | S/N | 14.7 | 24.4 | 25.4
| | S/N(c) | 13.2 | 22.7 | 24.0
| | SN(E/C) | 0.44
|
|
|
|
|
|
|
| 4630027
| 47
| | Red | Green | Blue
| | z | | 18.82
| | znorm | | 14.64
| | sky | 14.9 | 15.1 | 15.3
| | S/N | 14.7 | 24.5 | 25.4
| | S/N(c) | 13.0 | 22.9 | 24.0
| | SN(E/C) | 0.45
|
|
|
|
|
|
|
| 4630028
| 47
| | Red | Green | Blue
| | z | | 18.81
| | znorm | | 14.63
| | sky | 15.0 | 15.0 | 15.2
| | S/N | 14.3 | 24.1 | 25.3
| | S/N(c) | 12.7 | 22.5 | 23.5
| | SN(E/C) | 0.45
|
|
|
|
|
|
|
| 4630029
| 47
| | Red | Green | Blue
| | z | | 18.71
| | znorm | | 14.53
| | sky | 15.0 | 15.1 | 15.3
| | S/N | 13.2 | 22.7 | 23.8
| | S/N(c) | 11.7 | 21.2 | 22.1
| | SN(E/C) | 0.48
|
|
|
|
|
|
|
| 4630030
| 47
| | Red | Green | Blue
| | z | | 18.73
| | znorm | | 14.55
| | sky | 14.8 | 15.2 | 15.2
| | S/N | 13.4 | 22.8 | 23.8
| | S/N(c) | 11.9 | 21.3 | 22.3
| | SN(E/C) | 0.50
|
|
|
|
|
|
|