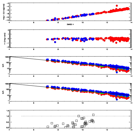
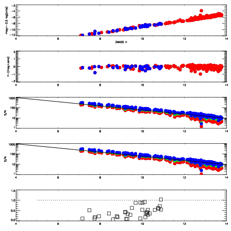
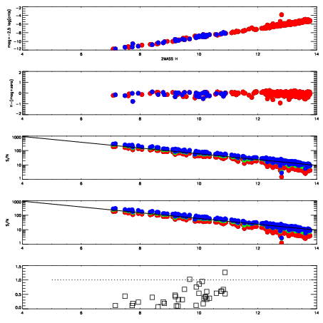
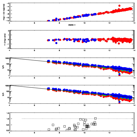
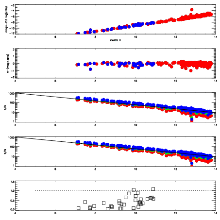
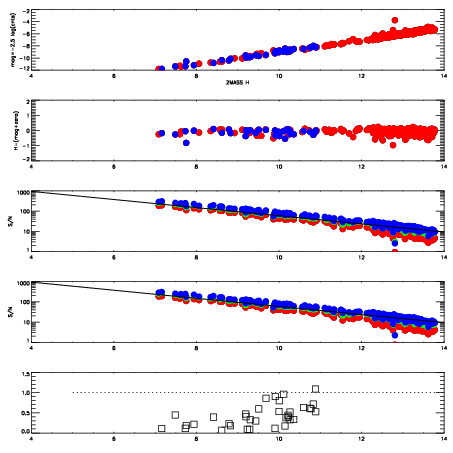
| Frame | Nreads | Zeropoints | Mag plots
| Spatial mag deviation
| Spatial sky 16325A emission deviations (filled: sky, open: star)
| Spatial sky continuum emission
| Spatial sky telluric CO2 absorption deviations (filled: H < 10)
|
| 4870059
| 47
| | Red | Green | Blue
| | z | | 19.12
| | znorm | | 14.94
| | sky | 15.1 | 14.6 | 14.6
| | S/N | 17.2 | 27.8 | 29.9
| | S/N(c) | 15.4 | 26.5 | 28.2
| | SN(E/C) | 0.38
|
|
|
|
|
|
|
| 4870060
| 47
| | Red | Green | Blue
| | z | | 19.15
| | znorm | | 14.97
| | sky | 14.7 | 14.6 | 14.9
| | S/N | 17.7 | 28.7 | 31.1
| | S/N(c) | 16.2 | 27.1 | 29.5
| | SN(E/C) | 0.38
|
|
|
|
|
|
|
| 4870061
| 47
| | Red | Green | Blue
| | z | | 19.18
| | znorm | | 15.00
| | sky | 14.7 | 14.7 | 14.9
| | S/N | 17.9 | 29.3 | 31.4
| | S/N(c) | 16.2 | 27.9 | 29.8
| | SN(E/C) | 0.39
|
|
|
|
|
|
|
| 4870062
| 47
| | Red | Green | Blue
| | z | | 19.14
| | znorm | | 14.96
| | sky | 15.0 | 14.7 | 14.9
| | S/N | 17.4 | 28.6 | 30.6
| | S/N(c) | 15.7 | 27.0 | 29.0
| | SN(E/C) | 0.37
|
|
|
|
|
|
|
| 4870063
| 47
| | Red | Green | Blue
| | z | | 19.14
| | znorm | | 14.96
| | sky | 14.9 | 14.8 | 14.9
| | S/N | 17.4 | 28.6 | 30.8
| | S/N(c) | 15.9 | 27.1 | 29.2
| | SN(E/C) | 0.39
|
|
|
|
|
|
|
| 4870064
| 47
| | Red | Green | Blue
| | z | | 19.11
| | znorm | | 14.93
| | sky | 14.8 | 14.8 | 14.9
| | S/N | 17.1 | 28.2 | 30.2
| | S/N(c) | 15.4 | 26.8 | 28.6
| | SN(E/C) | 0.37
|
|
|
|
|
|
|
| 4870065
| 47
| | Red | Green | Blue
| | z | | 19.06
| | znorm | | 14.88
| | sky | 14.7 | 14.9 | 14.9
| | S/N | 16.6 | 27.5 | 29.3
| | S/N(c) | 15.0 | 26.1 | 27.6
| | SN(E/C) | 0.40
|
|
|
|
|
|
|
| 4870066
| 47
| | Red | Green | Blue
| | z | | 19.12
| | znorm | | 14.94
| | sky | 14.7 | 14.9 | 15.1
| | S/N | 17.2 | 28.2 | 30.3
| | S/N(c) | 15.4 | 26.8 | 28.4
| | SN(E/C) | 0.40
|
|
|
|
|
|
|