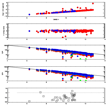
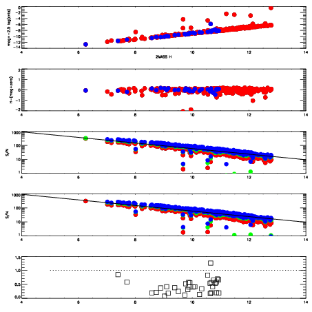
| Frame | Nreads | Zeropoints | Mag plots
| Spatial mag deviation
| Spatial sky 16325A emission deviations (filled: sky, open: star)
| Spatial sky continuum emission
| Spatial sky telluric CO2 absorption deviations (filled: H < 10)
|
| 8770021
| 47
| | Red | Green | Blue
| | z | | 18.71
| | znorm | | 14.53
| | sky | 14.4 | 14.1 | 14.1
| | S/N | 12.0 | 19.8 | 22.3
| | S/N(c) | 10.5 | 17.6 | 20.4
| | SN(E/C) | 0.43
|
|
|
|
|
|
|
| 8770022
| 47
| | Red | Green | Blue
| | z | | 18.51
| | znorm | | 14.33
| | sky | 14.1 | 14.0 | 14.2
| | S/N | 10.7 | 18.2 | 19.6
| | S/N(c) | 9.1 | 16.4 | 18.5
| | SN(E/C) | 0.46
|
|
|
|
|
|
|
| 8770023
| 47
| | Red | Green | Blue
| | z | | 18.42
| | znorm | | 14.24
| | sky | 14.1 | 14.0 | 14.3
| | S/N | 9.5 | 16.4 | 18.5
| | S/N(c) | 8.2 | 14.9 | 16.8
| | SN(E/C) | 0.50
|
|
|
|
|
|
|
| 8770024
| 47
| | Red | Green | Blue
| | z | | 18.64
| | znorm | | 14.46
| | sky | 14.1 | 14.2 | 14.4
| | S/N | 11.2 | 19.3 | 20.5
| | S/N(c) | 9.3 | 17.2 | 18.9
| | SN(E/C) | 0.46
|
|
|
|
|
|
|
| 8770025
| 47
| | Red | Green | Blue
| | z | | 18.81
| | znorm | | 14.63
| | sky | 14.2 | 14.3 | 14.6
| | S/N | 12.7 | 21.8 | 23.7
| | S/N(c) | 10.9 | 19.7 | 21.8
| | SN(E/C) | 0.44
|
|
|
|
|
|
|
| 8770026
| 47
| | Red | Green | Blue
| | z | | 18.92
| | znorm | | 14.74
| | sky | 14.3 | 14.4 | 14.6
| | S/N | 13.9 | 23.4 | 25.5
| | S/N(c) | 12.4 | 21.2 | 23.7
| | SN(E/C) | 0.42
|
|
|
|
|
|
|
| 8770027
| 47
| | Red | Green | Blue
| | z | | 18.97
| | znorm | | 14.79
| | sky | 14.3 | 14.5 | 14.7
| | S/N | 14.1 | 23.7 | 26.1
| | S/N(c) | 12.3 | 21.4 | 24.4
| | SN(E/C) | 0.41
|
|
|
|
|
|
|
| 8770028
| 47
| | Red | Green | Blue
| | z | | 18.89
| | znorm | | 14.71
| | sky | 14.3 | 14.4 | 14.6
| | S/N | 13.3 | 22.6 | 24.2
| | S/N(c) | 11.6 | 20.5 | 22.4
| | SN(E/C) | 0.41
|
|
|
|
|
|
|