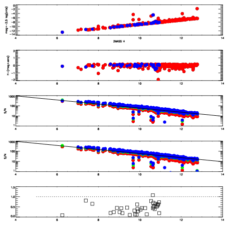
| Frame | Nreads | Zeropoints | Mag plots
| Spatial mag deviation
| Spatial sky 16325A emission deviations (filled: sky, open: star)
| Spatial sky continuum emission
| Spatial sky telluric CO2 absorption deviations (filled: H < 10)
|
| 8990011
| 47
| | Red | Green | Blue
| | z | | 18.96
| | znorm | | 14.78
| | sky | 14.1 | 14.1 | 14.1
| | S/N | 14.5 | 24.4 | 25.5
| | S/N(c) | 13.0 | 22.7 | 24.0
| | SN(E/C) | 0.44
|
|
|
|
|
|
|
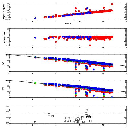
| 8990012
| 47
| | Red | Green | Blue
| | z | | 18.97
| | znorm | | 14.79
| | sky | 14.1 | 14.3 | 14.4
| | S/N | 14.0 | 24.1 | 25.1
| | S/N(c) | 12.8 | 22.0 | 23.6
| | SN(E/C) | 0.42
|
|
|
|
|
|
|
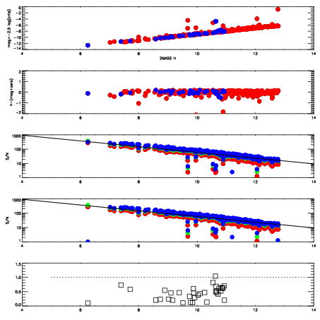
| 8990013
| 47
| | Red | Green | Blue
| | z | | 19.01
| | znorm | | 14.83
| | sky | 14.1 | 14.3 | 14.4
| | S/N | 14.2 | 24.7 | 25.9
| | S/N(c) | 13.0 | 22.6 | 24.3
| | SN(E/C) | 0.43
|
|
|
|
|
|
|
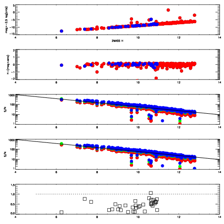
| 8990014
| 47
| | Red | Green | Blue
| | z | | 18.89
| | znorm | | 14.71
| | sky | 14.3 | 14.4 | 14.5
| | S/N | 13.2 | 23.0 | 24.4
| | S/N(c) | 11.9 | 21.0 | 22.9
| | SN(E/C) | 0.48
|
|
|
|
|
|
|
| 8990015
| 47
| | Red | Green | Blue
| | z | | 18.92
| | znorm | | 14.74
| | sky | 14.1 | 14.3 | 14.4
| | S/N | 13.3 | 23.1 | 24.2
| | S/N(c) | 12.0 | 21.3 | 22.8
| | SN(E/C) | 0.43
|
|
|
|
|
|
|
| 8990016
| 47
| | Red | Green | Blue
| | z | | 18.98
| | znorm | | 14.80
| | sky | 14.3 | 14.3 | 14.4
| | S/N | 13.8 | 24.0 | 25.1
| | S/N(c) | 12.5 | 22.3 | 23.9
| | SN(E/C) | 0.44
|
|
|
|
|
|
|
| 8990017
| 47
| | Red | Green | Blue
| | z | | 18.95
| | znorm | | 14.77
| | sky | 14.1 | 14.3 | 14.5
| | S/N | 13.9 | 24.0 | 24.6
| | S/N(c) | 12.7 | 22.2 | 23.4
| | SN(E/C) | 0.46
|
|
|
|
|
|
|
| 8990018
| 47
| | Red | Green | Blue
| | z | | 19.00
| | znorm | | 14.82
| | sky | 14.2 | 14.3 | 14.6
| | S/N | 14.4 | 24.5 | 25.5
| | S/N(c) | 13.2 | 22.8 | 24.0
| | SN(E/C) | 0.45
|
|
|
|
|
|
|