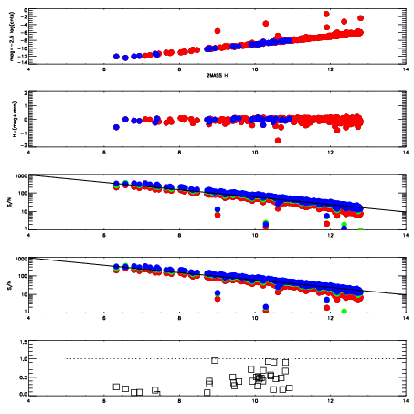
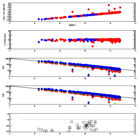
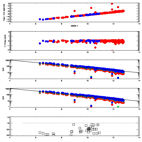
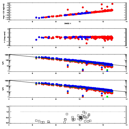
| Frame | Nreads | Zeropoints | Mag plots
| Spatial mag deviation
| Spatial sky 16325A emission deviations (filled: sky, open: star)
| Spatial sky continuum emission
| Spatial sky telluric CO2 absorption deviations (filled: H < 10)
|
| 8970011
| 47
| | Red | Green | Blue
| | z | | 18.84
| | znorm | | 14.66
| | sky | 14.4 | 14.2 | 14.1
| | S/N | 13.5 | 23.0 | 23.8
| | S/N(c) | 12.2 | 21.6 | 22.4
| | SN(E/C) | 0.42
|
|
|
|
|
|
|
| 8970012
| 47
| | Red | Green | Blue
| | z | | 18.93
| | znorm | | 14.75
| | sky | 14.5 | 14.4 | 14.6
| | S/N | 14.2 | 24.0 | 25.3
| | S/N(c) | 12.7 | 22.4 | 23.8
| | SN(E/C) | 0.44
|
|
|
|
|
|
|
| 8970013
| 47
| | Red | Green | Blue
| | z | | 18.92
| | znorm | | 14.74
| | sky | 14.5 | 14.6 | 14.6
| | S/N | 14.0 | 23.8 | 25.0
| | S/N(c) | 12.6 | 22.4 | 23.6
| | SN(E/C) | 0.40
|
|
|
|
|
|
|
| 8970014
| 47
| | Red | Green | Blue
| | z | | 18.97
| | znorm | | 14.79
| | sky | 14.6 | 14.5 | 14.6
| | S/N | 14.5 | 24.5 | 25.7
| | S/N(c) | 13.2 | 22.8 | 24.2
| | SN(E/C) | 0.40
|
|
|
|
|
|
|
| 8970015
| 47
| | Red | Green | Blue
| | z | | 19.01
| | znorm | | 14.83
| | sky | 14.5 | 14.5 | 14.7
| | S/N | 15.1 | 25.0 | 26.4
| | S/N(c) | 13.6 | 23.4 | 24.8
| | SN(E/C) | 0.41
|
|
|
|
|
|
|
| 8970016
| 47
| | Red | Green | Blue
| | z | | 18.97
| | znorm | | 14.79
| | sky | 14.5 | 14.5 | 14.8
| | S/N | 14.7 | 24.5 | 25.5
| | S/N(c) | 13.1 | 22.8 | 24.2
| | SN(E/C) | 0.38
|
|
|
|
|
|
|
| 8970017
| 47
| | Red | Green | Blue
| | z | | 18.89
| | znorm | | 14.71
| | sky | 14.5 | 14.5 | 14.7
| | S/N | 13.9 | 23.5 | 24.7
| | S/N(c) | 12.5 | 21.8 | 23.1
| | SN(E/C) | 0.39
|
|
|
|
|
|
|
| 8970018
| 47
| | Red | Green | Blue
| | z | | 18.82
| | znorm | | 14.64
| | sky | 14.6 | 14.6 | 14.7
| | S/N | 13.2 | 22.6 | 23.7
| | S/N(c) | 11.8 | 20.9 | 22.3
| | SN(E/C) | 0.40
|
|
|
|
|
|
|