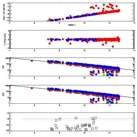
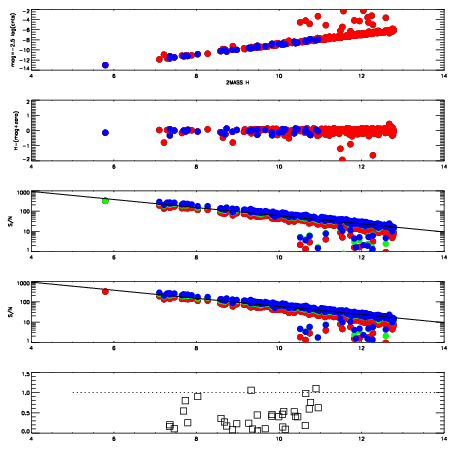
| Frame | Nreads | Zeropoints | Mag plots
| Spatial mag deviation
| Spatial sky 16325A emission deviations (filled: sky, open: star)
| Spatial sky continuum emission
| Spatial sky telluric CO2 absorption deviations (filled: H < 10)
|
| 8760011
| 47
| | Red | Green | Blue
| | z | | 18.92
| | znorm | | 14.74
| | sky | 13.8 | 13.6 | 13.4
| | S/N | 13.7 | 22.8 | 23.2
| | S/N(c) | 12.6 | 20.9 | 22.4
| | SN(E/C) | 0.39
|
|
|
|
|
|
|
| 8760012
| 47
| | Red | Green | Blue
| | z | | 18.93
| | znorm | | 14.75
| | sky | 14.3 | 14.4 | 14.5
| | S/N | 14.1 | 23.7 | 24.6
| | S/N(c) | 12.6 | 21.9 | 23.5
| | SN(E/C) | 0.40
|
|
|
|
|
|
|
| 8760013
| 47
| | Red | Green | Blue
| | z | | 18.93
| | znorm | | 14.75
| | sky | 14.5 | 14.5 | 14.6
| | S/N | 13.8 | 23.5 | 24.8
| | S/N(c) | 12.2 | 21.5 | 23.4
| | SN(E/C) | 0.41
|
|
|
|
|
|
|
| 8760014
| 47
| | Red | Green | Blue
| | z | | 18.90
| | znorm | | 14.72
| | sky | 14.4 | 14.6 | 14.7
| | S/N | 13.7 | 23.4 | 24.4
| | S/N(c) | 12.2 | 21.7 | 23.3
| | SN(E/C) | 0.42
|
|
|
|
|
|
|
| 8760015
| 47
| | Red | Green | Blue
| | z | | 18.93
| | znorm | | 14.75
| | sky | 14.5 | 14.5 | 14.9
| | S/N | 13.8 | 23.5 | 25.5
| | S/N(c) | 12.3 | 21.9 | 24.1
| | SN(E/C) | 0.41
|
|
|
|
|
|
|
| 8760016
| 47
| | Red | Green | Blue
| | z | | 19.00
| | znorm | | 14.82
| | sky | 14.5 | 14.5 | 14.7
| | S/N | 14.6 | 24.9 | 26.3
| | S/N(c) | 13.0 | 23.1 | 25.1
| | SN(E/C) | 0.39
|
|
|
|
|
|
|
| 8760017
| 47
| | Red | Green | Blue
| | z | | 19.01
| | znorm | | 14.83
| | sky | 14.5 | 14.5 | 14.7
| | S/N | 14.4 | 24.9 | 26.2
| | S/N(c) | 13.0 | 23.0 | 24.9
| | SN(E/C) | 0.39
|
|
|
|
|
|
|
| 8760018
| 47
| | Red | Green | Blue
| | z | | 18.97
| | znorm | | 14.79
| | sky | 14.4 | 14.5 | 14.7
| | S/N | 14.4 | 24.2 | 26.0
| | S/N(c) | 12.8 | 22.4 | 24.6
| | SN(E/C) | 0.40
|
|
|
|
|
|
|