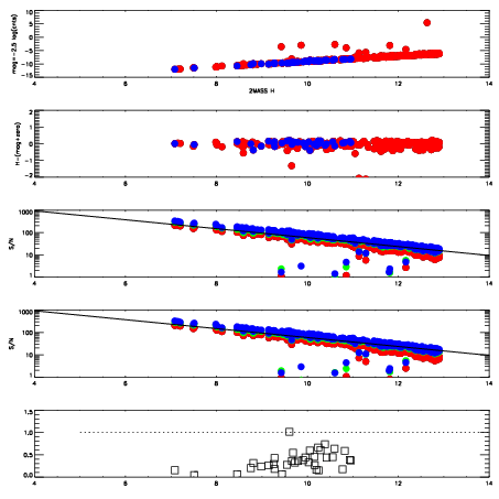
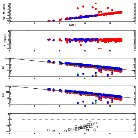
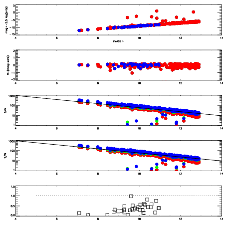
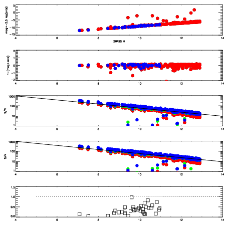
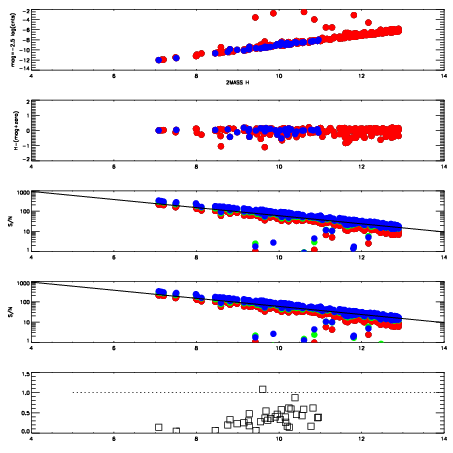
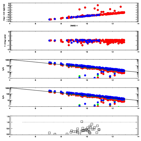
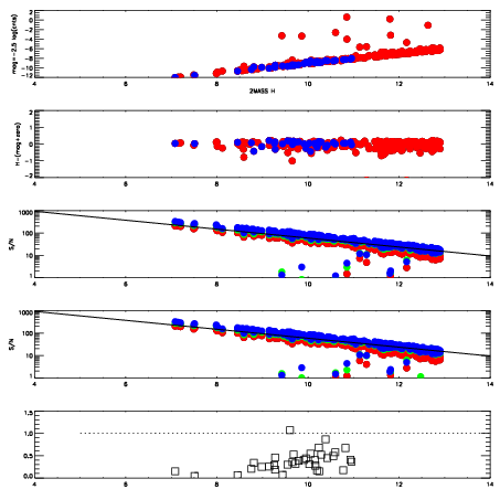
| Frame | Nreads | Zeropoints | Mag plots
| Spatial mag deviation
| Spatial sky 16325A emission deviations (filled: sky, open: star)
| Spatial sky continuum emission
| Spatial sky telluric CO2 absorption deviations (filled: H < 10)
|
| 4870011
| 47
| | Red | Green | Blue
| | z | | 19.05
| | znorm | | 14.87
| | sky | 14.6 | 14.3 | 14.3
| | S/N | 15.7 | 26.6 | 27.4
| | S/N(c) | 14.3 | 24.4 | 25.8
| | SN(E/C) | 0.37
|
|
|
|
|
|
|
| 4870012
| 47
| | Red | Green | Blue
| | z | | 19.07
| | znorm | | 14.89
| | sky | 14.7 | 14.6 | 14.7
| | S/N | 15.0 | 25.6 | 27.1
| | S/N(c) | 13.5 | 23.7 | 25.7
| | SN(E/C) | 0.36
|
|
|
|
|
|
|
| 4870013
| 47
| | Red | Green | Blue
| | z | | 19.08
| | znorm | | 14.90
| | sky | 14.6 | 14.6 | 14.7
| | S/N | 15.3 | 25.7 | 26.9
| | S/N(c) | 13.8 | 24.0 | 25.3
| | SN(E/C) | 0.36
|
|
|
|
|
|
|
| 4870014
| 47
| | Red | Green | Blue
| | z | | 19.07
| | znorm | | 14.89
| | sky | 14.7 | 14.7 | 14.8
| | S/N | 15.1 | 25.8 | 27.0
| | S/N(c) | 13.7 | 23.6 | 25.3
| | SN(E/C) | 0.34
|
|
|
|
|
|
|
| 4870015
| 47
| | Red | Green | Blue
| | z | | 19.02
| | znorm | | 14.84
| | sky | 14.6 | 14.6 | 14.8
| | S/N | 14.3 | 24.8 | 26.4
| | S/N(c) | 12.9 | 22.9 | 24.7
| | SN(E/C) | 0.35
|
|
|
|
|
|
|
| 4870016
| 47
| | Red | Green | Blue
| | z | | 19.06
| | znorm | | 14.88
| | sky | 14.6 | 14.8 | 14.7
| | S/N | 14.3 | 25.0 | 26.6
| | S/N(c) | 12.9 | 23.1 | 25.2
| | SN(E/C) | 0.34
|
|
|
|
|
|
|
| 4870017
| 47
| | Red | Green | Blue
| | z | | 19.04
| | znorm | | 14.86
| | sky | 14.6 | 14.8 | 14.9
| | S/N | 14.1 | 24.2 | 25.9
| | S/N(c) | 12.6 | 22.3 | 24.4
| | SN(E/C) | 0.34
|
|
|
|
|
|
|
| 4870018
| 47
| | Red | Green | Blue
| | z | | 19.06
| | znorm | | 14.88
| | sky | 14.7 | 14.8 | 14.8
| | S/N | 14.6 | 24.9 | 26.3
| | S/N(c) | 13.3 | 23.0 | 25.0
| | SN(E/C) | 0.36
|
|
|
|
|
|
|