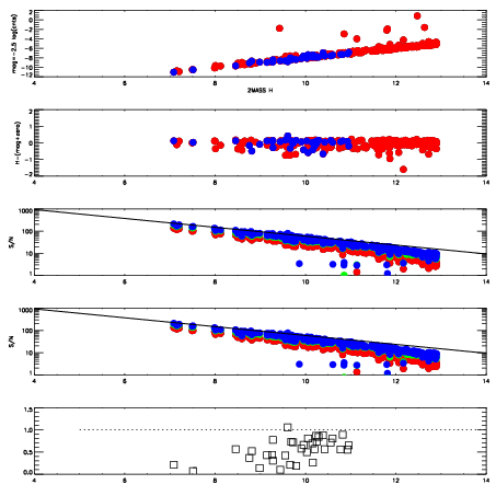
| Frame | Nreads | Zeropoints | Mag plots
| Spatial mag deviation
| Spatial sky 16325A emission deviations (filled: sky, open: star)
| Spatial sky continuum emission
| Spatial sky telluric CO2 absorption deviations (filled: H < 10)
|
| 4910010
| 47
| | Red | Green | Blue
| | z | | 18.80
| | znorm | | 14.62
| | sky | 14.3 | 14.1 | 14.1
| | S/N | 12.9 | 22.2 | 23.1
| | S/N(c) | 11.6 | 20.5 | 21.5
| | SN(E/C) | 0.42
|
|
|
|
|
|
|
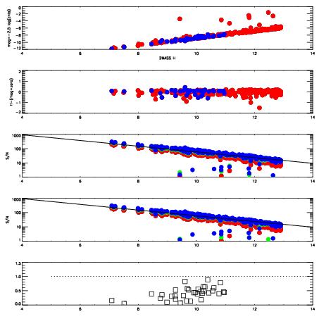
| 4910011
| 47
| | Red | Green | Blue
| | z | | 18.04
| | znorm | | 13.86
| | sky | 13.7 | 13.8 | 14.0
| | S/N | 6.7 | 12.8 | 13.5
| | S/N(c) | 6.0 | 11.5 | 12.4
| | SN(E/C) | 0.59
|
|
|
|
|
|
|
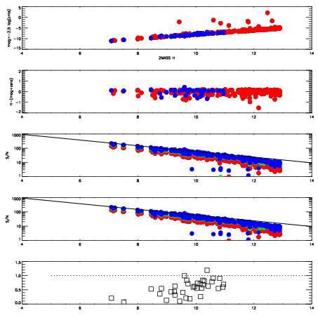
| 4910012
| 47
| | Red | Green | Blue
| | z | | 17.98
| | znorm | | 13.80
| | sky | 13.7 | 13.8 | 14.0
| | S/N | 6.4 | 12.2 | 12.8
| | S/N(c) | 5.7 | 11.0 | 11.6
| | SN(E/C) | 0.56
|
|
|
|
|
|
|
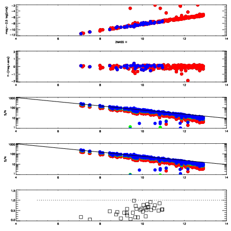
| 4910013
| 47
| | Red | Green | Blue
| | z | | 17.99
| | znorm | | 13.81
| | sky | 13.8 | 13.7 | 13.9
| | S/N | 6.4 | 12.4 | 12.9
| | S/N(c) | 5.7 | 11.1 | 11.7
| | SN(E/C) | 0.59
|
|
|
|
|
|
|
| 4910014
| 47
| | Red | Green | Blue
| | z | | 18.29
| | znorm | | 14.11
| | sky | 13.9 | 13.8 | 14.0
| | S/N | 8.4 | 15.2 | 15.9
| | S/N(c) | 7.3 | 13.8 | 15.0
| | SN(E/C) | 0.53
|
|
|
|
|
|
|
| 4910015
| 47
| | Red | Green | Blue
| | z | | 18.90
| | znorm | | 14.72
| | sky | 14.5 | 14.5 | 14.6
| | S/N | 13.3 | 23.0 | 24.3
| | S/N(c) | 11.6 | 21.4 | 23.2
| | SN(E/C) | 0.39
|
|
|
|
|
|
|
| 4910016
| 47
| | Red | Green | Blue
| | z | | 18.84
| | znorm | | 14.66
| | sky | 14.7 | 14.6 | 14.7
| | S/N | 13.2 | 22.5 | 23.6
| | S/N(c) | 11.5 | 20.8 | 22.1
| | SN(E/C) | 0.42
|
|
|
|
|
|
|
| 4910017
| 47
| | Red | Green | Blue
| | z | | 18.89
| | znorm | | 14.71
| | sky | 14.6 | 14.6 | 14.7
| | S/N | 13.3 | 22.9 | 24.5
| | S/N(c) | 11.6 | 21.5 | 23.0
| | SN(E/C) | 0.40
|
|
|
|
|
|
|