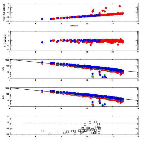
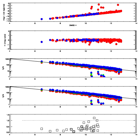
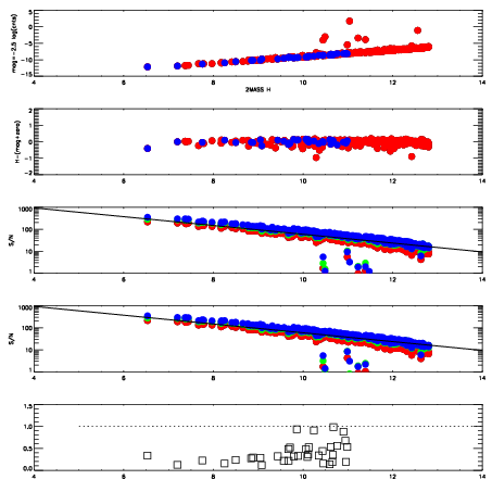
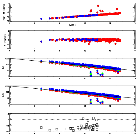
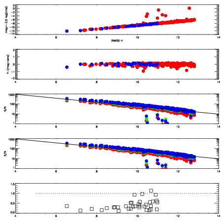
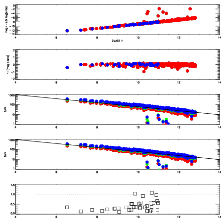
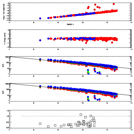
| Frame | Nreads | Zeropoints | Mag plots
| Spatial mag deviation
| Spatial sky 16325A emission deviations (filled: sky, open: star)
| Spatial sky continuum emission
| Spatial sky telluric CO2 absorption deviations (filled: H < 10)
|
| 8420011
| 47
| | Red | Green | Blue
| | z | | 19.04
| | znorm | | 14.86
| | sky | 14.2 | 13.9 | 13.9
| | S/N | 16.0 | 24.9 | 26.3
| | S/N(c) | 14.6 | 23.6 | 25.2
| | SN(E/C) | 0.33
|
|
|
|
|
|
|
| 8420012
| 47
| | Red | Green | Blue
| | z | | 19.07
| | znorm | | 14.89
| | sky | 14.3 | 14.2 | 14.3
| | S/N | 15.6 | 25.3 | 26.8
| | S/N(c) | 14.0 | 23.5 | 25.4
| | SN(E/C) | 0.34
|
|
|
|
|
|
|
| 8420013
| 47
| | Red | Green | Blue
| | z | | 19.09
| | znorm | | 14.91
| | sky | 14.2 | 14.2 | 14.2
| | S/N | 16.0 | 25.5 | 27.2
| | S/N(c) | 14.4 | 23.6 | 25.9
| | SN(E/C) | 0.33
|
|
|
|
|
|
|
| 8420014
| 47
| | Red | Green | Blue
| | z | | 19.07
| | znorm | | 14.89
| | sky | 14.3 | 14.3 | 14.3
| | S/N | 15.6 | 25.1 | 26.7
| | S/N(c) | 14.1 | 23.3 | 25.3
| | SN(E/C) | 0.35
|
|
|
|
|
|
|
| 8420015
| 47
| | Red | Green | Blue
| | z | | 19.08
| | znorm | | 14.90
| | sky | 14.4 | 14.3 | 14.3
| | S/N | 15.7 | 25.3 | 27.0
| | S/N(c) | 14.0 | 23.5 | 25.5
| | SN(E/C) | 0.34
|
|
|
|
|
|
|
| 8420016
| 47
| | Red | Green | Blue
| | z | | 19.07
| | znorm | | 14.89
| | sky | 14.3 | 14.3 | 14.3
| | S/N | 15.6 | 25.0 | 26.7
| | S/N(c) | 13.9 | 23.3 | 25.2
| | SN(E/C) | 0.34
|
|
|
|
|
|
|
| 8420017
| 47
| | Red | Green | Blue
| | z | | 19.05
| | znorm | | 14.87
| | sky | 14.3 | 14.3 | 14.4
| | S/N | 15.4 | 24.8 | 26.2
| | S/N(c) | 13.8 | 23.3 | 24.9
| | SN(E/C) | 0.35
|
|
|
|
|
|
|
| 8420018
| 47
| | Red | Green | Blue
| | z | | 19.08
| | znorm | | 14.90
| | sky | 14.4 | 14.4 | 14.4
| | S/N | 15.5 | 25.1 | 26.9
| | S/N(c) | 14.0 | 23.3 | 25.3
| | SN(E/C) | 0.33
|
|
|
|
|
|
|