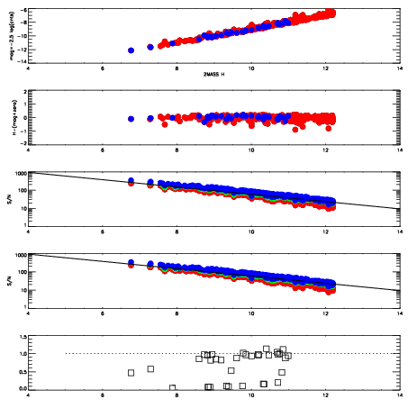
| Frame | Nreads | Zeropoints | Mag plots
| Spatial mag deviation
| Spatial sky 16325A emission deviations (filled: sky, open: star)
| Spatial sky continuum emission
| Spatial sky telluric CO2 absorption deviations (filled: H < 10)
|
| 7050048
| 47
| | Red | Green | Blue
| | z | | 18.84
| | znorm | | 14.66
| | sky | 14.8 | 14.3 | 14.1
| | S/N | 13.0 | 20.9 | 22.9
| | S/N(c) | 11.1 | 19.6 | 21.9
| | SN(E/C) | 0.87
|
|
|
|
|
|
|
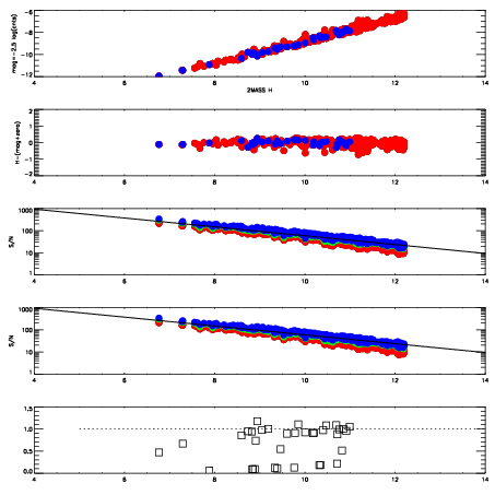
| 7050049
| 47
| | Red | Green | Blue
| | z | | 18.81
| | znorm | | 14.63
| | sky | 14.4 | 14.3 | 14.3
| | S/N | 12.2 | 20.6 | 22.8
| | S/N(c) | 10.2 | 18.6 | 21.4
| | SN(E/C) | 0.89
|
|
|
|
|
|
|
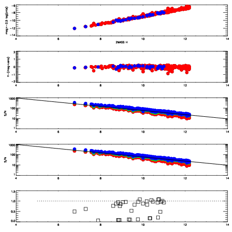
| 7050050
| 47
| | Red | Green | Blue
| | z | | 18.82
| | znorm | | 14.64
| | sky | 14.5 | 14.3 | 14.3
| | S/N | 12.0 | 21.1 | 22.5
| | S/N(c) | 10.5 | 19.5 | 21.2
| | SN(E/C) | 0.88
|
|
|
|
|
|
|
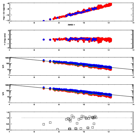
| 7050051
| 47
| | Red | Green | Blue
| | z | | 18.88
| | znorm | | 14.70
| | sky | 14.6 | 14.3 | 14.3
| | S/N | 13.1 | 22.0 | 23.1
| | S/N(c) | 11.1 | 20.0 | 21.6
| | SN(E/C) | 0.91
|
|
|
|
|
|
|
| 7050052
| 47
| | Red | Green | Blue
| | z | | 18.96
| | znorm | | 14.78
| | sky | 14.3 | 14.3 | 14.2
| | S/N | 13.9 | 23.1 | 23.9
| | S/N(c) | 11.7 | 21.1 | 22.3
| | SN(E/C) | 0.82
|
|
|
|
|
|
|
| 7050053
| 47
| | Red | Green | Blue
| | z | | 18.94
| | znorm | | 14.76
| | sky | 14.5 | 14.4 | 14.3
| | S/N | 13.1 | 22.5 | 23.4
| | S/N(c) | 11.5 | 20.6 | 22.0
| | SN(E/C) | 0.90
|
|
|
|
|
|
|
| 7050054
| 47
| | Red | Green | Blue
| | z | | 18.99
| | znorm | | 14.81
| | sky | 14.4 | 14.3 | 14.2
| | S/N | 13.7 | 23.6 | 24.1
| | S/N(c) | 12.1 | 21.5 | 22.6
| | SN(E/C) | 0.85
|
|
|
|
|
|
|
| 7050055
| 47
| | Red | Green | Blue
| | z | | 19.04
| | znorm | | 14.86
| | sky | 14.6 | 14.4 | 14.2
| | S/N | 14.2 | 23.8 | 24.5
| | S/N(c) | 12.4 | 21.8 | 22.9
| | SN(E/C) | 0.89
|
|
|
|
|
|
|