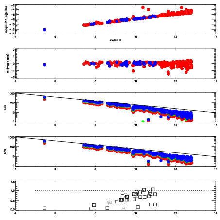
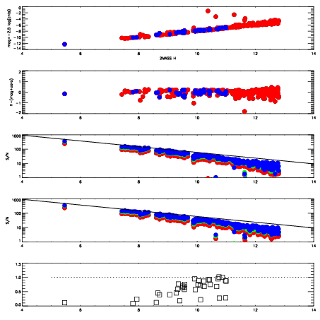
Left plots: red are targets, blue are telluric. Observed mags are calculated from median value of green chip. Zeropoint gives overall throughput: bigger number is more throughput.
First spatial plots: circles are objects, squares are tellurics, crosses are sky fibers. Colors give deviation of observed mag from expected 2MASS mag using the median zeropoint; red is brighter
Second spatial plots: circles are sky fibers. Colors give sky line brightness relative to plate median sky line brightness
FrameNreadsZeropointsMag plots Spatial mag deviation Spatial sky 16325A emission deviations (filled: sky, open: star) Spatial sky continuum emission Spatial sky telluric CO2 absorption deviations (filled: H < 10)
4020013 47
RedGreenBlue
z17.85
znorm13.67
sky 12.2 12.1 12.0
S/N 4.8 8.0 9.3
S/N(c) 4.5 7.5 8.8
SN(E/C) 0.68
4020014 47
RedGreenBlue
z17.79
znorm13.61
sky 12.3 12.2 12.2
S/N 4.8 7.5 8.5
S/N(c) 4.3 7.0 8.8
SN(E/C) 0.68
4020015 47
RedGreenBlue
z18.14
znorm13.96
sky 12.5 12.3 12.4
S/N 6.5 10.3 12.7
S/N(c) 5.7 9.6 11.9
SN(E/C) 0.58
4020016 47
RedGreenBlue
z18.61
znorm14.43
sky 14.1 13.9 14.1
S/N 10.7 17.4 20.4
S/N(c) 9.4 16.7 19.1
SN(E/C) 0.48