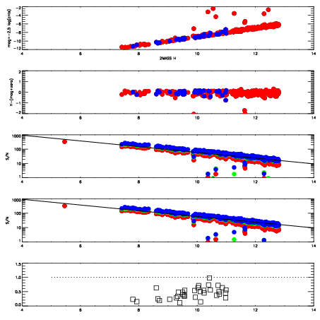
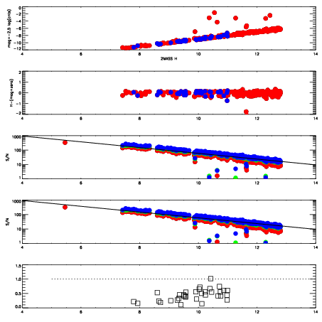
| Frame | Nreads | Zeropoints | Mag plots
| Spatial mag deviation
| Spatial sky 16325A emission deviations (filled: sky, open: star)
| Spatial sky continuum emission
| Spatial sky telluric CO2 absorption deviations (filled: H < 10)
|
| 4880013
| 47
| | Red | Green | Blue
| | z | | 19.01
| | znorm | | 14.83
| | sky | 14.1 | 13.9 | 14.0
| | S/N | 15.1 | 24.5 | 26.3
| | S/N(c) | 13.8 | 22.8 | 24.9
| | SN(E/C) | 0.45
|
|
|
|
|
|
|
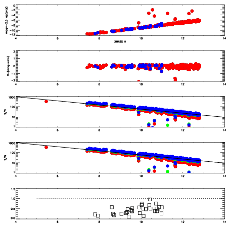
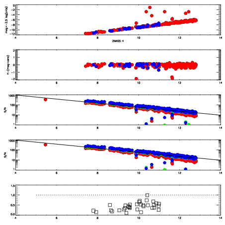
| 4880014
| 47
| | Red | Green | Blue
| | z | | 19.00
| | znorm | | 14.82
| | sky | 14.2 | 14.1 | 14.4
| | S/N | 15.0 | 24.1 | 26.9
| | S/N(c) | 13.3 | 22.2 | 25.4
| | SN(E/C) | 0.45
|
|
|
|
|
|
|
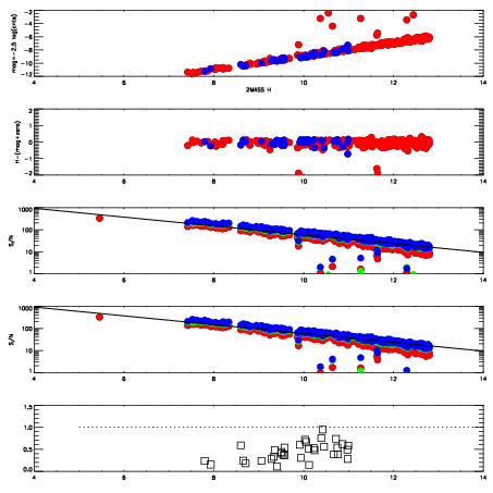
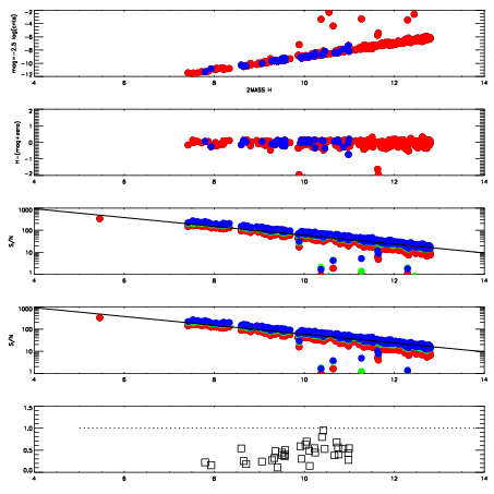
| 4880015
| 47
| | Red | Green | Blue
| | z | | 19.00
| | znorm | | 14.82
| | sky | 14.2 | 14.2 | 14.5
| | S/N | 15.2 | 24.1 | 27.2
| | S/N(c) | 13.5 | 22.1 | 25.6
| | SN(E/C) | 0.43
|
|
|
|
|
|
|
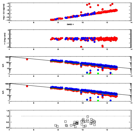
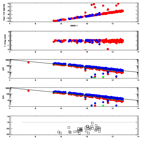
| 4880016
| 47
| | Red | Green | Blue
| | z | | 19.06
| | znorm | | 14.88
| | sky | 14.3 | 14.3 | 14.5
| | S/N | 15.6 | 24.7 | 27.5
| | S/N(c) | 13.7 | 22.8 | 25.9
| | SN(E/C) | 0.44
|
|
|
|
|
|
|
| 4880017
| 47
| | Red | Green | Blue
| | z | | 19.05
| | znorm | | 14.87
| | sky | 14.3 | 14.3 | 14.5
| | S/N | 15.9 | 24.6 | 27.8
| | S/N(c) | 13.7 | 22.6 | 26.1
| | SN(E/C) | 0.45
|
|
|
|
|
|
|
| 4880018
| 47
| | Red | Green | Blue
| | z | | 18.99
| | znorm | | 14.81
| | sky | 14.2 | 14.3 | 14.5
| | S/N | 15.3 | 23.6 | 26.8
| | S/N(c) | 13.2 | 21.7 | 25.2
| | SN(E/C) | 0.47
|
|
|
|
|
|
|
| 4880019
| 47
| | Red | Green | Blue
| | z | | 19.02
| | znorm | | 14.84
| | sky | 14.2 | 14.2 | 14.4
| | S/N | 15.5 | 24.0 | 27.6
| | S/N(c) | 13.6 | 22.0 | 25.9
| | SN(E/C) | 0.44
|
|
|
|
|
|
|
| 4880020
| 47
| | Red | Green | Blue
| | z | | 19.02
| | znorm | | 14.84
| | sky | 14.1 | 14.0 | 14.2
| | S/N | 15.6 | 23.7 | 27.4
| | S/N(c) | 13.6 | 22.1 | 25.7
| | SN(E/C) | 0.45
|
|
|
|
|
|
|