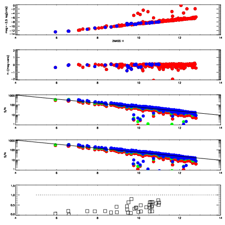
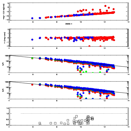
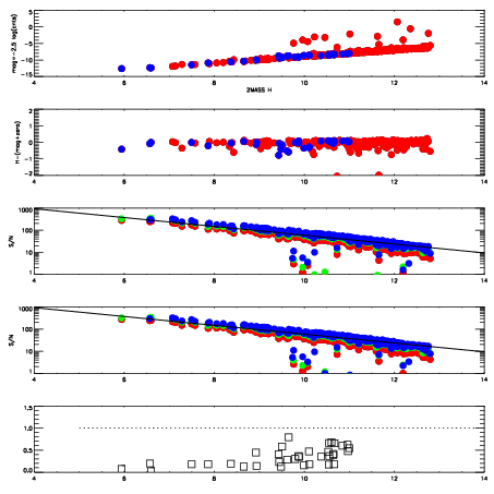
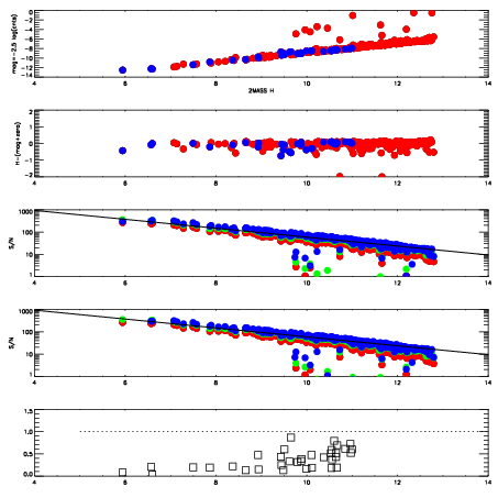
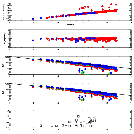
| Frame | Nreads | Zeropoints | Mag plots
| Spatial mag deviation
| Spatial sky 16325A emission deviations (filled: sky, open: star)
| Spatial sky continuum emission
| Spatial sky telluric CO2 absorption deviations (filled: H < 10)
|
| 4600036
| 47
| | Red | Green | Blue
| | z | | 18.88
| | znorm | | 14.70
| | sky | 12.9 | 12.8 | 12.7
| | S/N | 12.7 | 19.3 | 21.7
| | S/N(c) | 11.0 | 17.5 | 20.6
| | SN(E/C) | 0.39
|
|
|
|
|
|
|
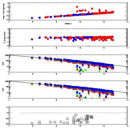
| 4600037
| 47
| | Red | Green | Blue
| | z | | 18.89
| | znorm | | 14.71
| | sky | 13.0 | 12.9 | 12.9
| | S/N | 12.8 | 19.7 | 22.3
| | S/N(c) | 11.2 | 17.7 | 20.9
| | SN(E/C) | 0.37
|
|
|
|
|
|
|
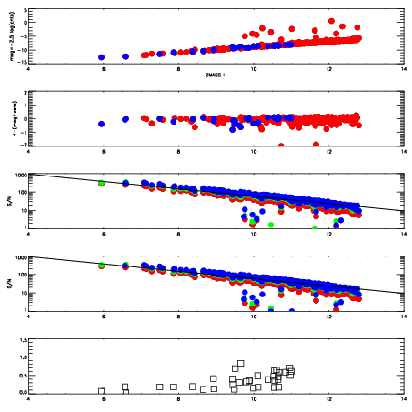
| 4600038
| 47
| | Red | Green | Blue
| | z | | 18.89
| | znorm | | 14.71
| | sky | 12.9 | 12.8 | 12.8
| | S/N | 12.5 | 19.5 | 21.9
| | S/N(c) | 11.2 | 17.6 | 20.7
| | SN(E/C) | 0.39
|
|
|
|
|
|
|
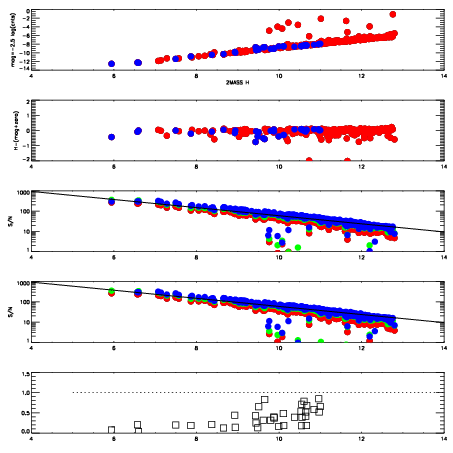
| 4600039
| 47
| | Red | Green | Blue
| | z | | 19.03
| | znorm | | 14.85
| | sky | 13.3 | 13.2 | 13.2
| | S/N | 14.5 | 22.1 | 24.9
| | S/N(c) | 12.8 | 20.5 | 23.5
| | SN(E/C) | 0.37
|
|
|
|
|
|
|
| 4600040
| 47
| | Red | Green | Blue
| | z | | 18.96
| | znorm | | 14.78
| | sky | 13.1 | 13.0 | 13.0
| | S/N | 13.5 | 20.9 | 23.7
| | S/N(c) | 12.1 | 19.2 | 22.1
| | SN(E/C) | 0.35
|
|
|
|
|
|
|
| 4600041
| 47
| | Red | Green | Blue
| | z | | 18.72
| | znorm | | 14.54
| | sky | 12.6 | 12.6 | 12.5
| | S/N | 10.8 | 16.6 | 18.5
| | S/N(c) | 9.5 | 14.9 | 17.3
| | SN(E/C) | 0.39
|
|
|
|
|
|
|
| 4600042
| 47
| | Red | Green | Blue
| | z | | 18.96
| | znorm | | 14.78
| | sky | 13.2 | 13.1 | 13.1
| | S/N | 13.3 | 20.7 | 23.8
| | S/N(c) | 12.0 | 19.2 | 22.3
| | SN(E/C) | 0.36
|
|
|
|
|
|
|
| 4600043
| 47
| | Red | Green | Blue
| | z | | 18.90
| | znorm | | 14.72
| | sky | 13.0 | 13.0 | 12.9
| | S/N | 12.6 | 19.5 | 22.5
| | S/N(c) | 11.5 | 18.1 | 21.1
| | SN(E/C) | 0.37
|
|
|
|
|
|
|