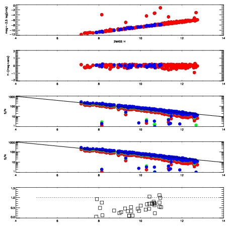
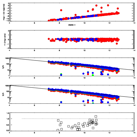
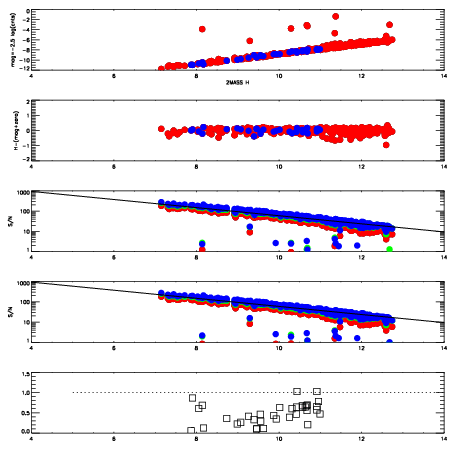
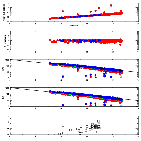
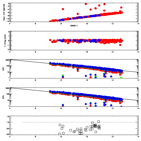
| Frame | Nreads | Zeropoints | Mag plots
| Spatial mag deviation
| Spatial sky 16325A emission deviations (filled: sky, open: star)
| Spatial sky continuum emission
| Spatial sky telluric CO2 absorption deviations (filled: H < 10)
|
| 8450010
| 47
| | Red | Green | Blue
| | z | | 18.84
| | znorm | | 14.66
| | sky | 14.0 | 13.9 | 13.7
| | S/N | 13.2 | 22.9 | 23.0
| | S/N(c) | 12.1 | 21.4 | 21.7
| | SN(E/C) | 0.49
|
|
|
|
|
|
|
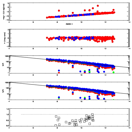
| 8450011
| 47
| | Red | Green | Blue
| | z | | 18.79
| | znorm | | 14.61
| | sky | 14.0 | 13.9 | 13.9
| | S/N | 12.7 | 21.7 | 22.5
| | S/N(c) | 11.3 | 20.1 | 21.0
| | SN(E/C) | 0.47
|
|
|
|
|
|
|
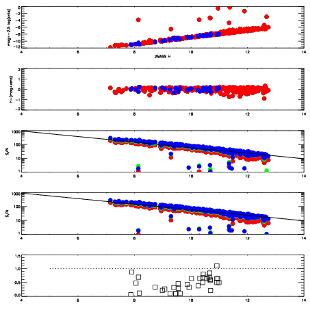
| 8450012
| 47
| | Red | Green | Blue
| | z | | 18.86
| | znorm | | 14.68
| | sky | 14.4 | 14.1 | 14.1
| | S/N | 13.3 | 22.3 | 23.2
| | S/N(c) | 11.9 | 21.0 | 21.8
| | SN(E/C) | 0.49
|
|
|
|
|
|
|
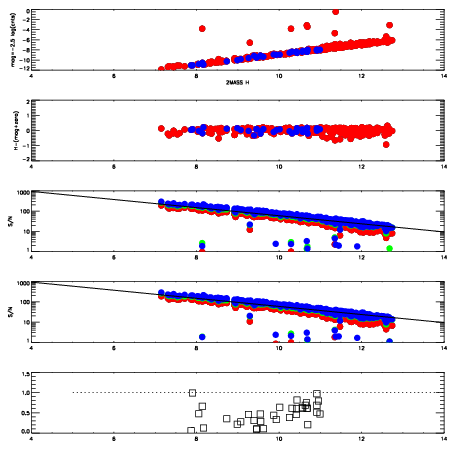
| 8450013
| 47
| | Red | Green | Blue
| | z | | 18.86
| | znorm | | 14.68
| | sky | 14.3 | 14.2 | 14.1
| | S/N | 13.0 | 22.3 | 23.9
| | S/N(c) | 11.5 | 20.9 | 22.4
| | SN(E/C) | 0.47
|
|
|
|
|
|
|
| 8450014
| 47
| | Red | Green | Blue
| | z | | 18.68
| | znorm | | 14.50
| | sky | 14.1 | 14.1 | 14.1
| | S/N | 11.5 | 20.2 | 20.9
| | S/N(c) | 10.1 | 18.3 | 19.7
| | SN(E/C) | 0.53
|
|
|
|
|
|
|
| 8450015
| 47
| | Red | Green | Blue
| | z | | 18.78
| | znorm | | 14.60
| | sky | 14.2 | 14.2 | 14.2
| | S/N | 12.6 | 21.4 | 22.2
| | S/N(c) | 11.1 | 19.5 | 20.8
| | SN(E/C) | 0.50
|
|
|
|
|
|
|
| 8450016
| 47
| | Red | Green | Blue
| | z | | 18.77
| | znorm | | 14.59
| | sky | 14.3 | 14.2 | 14.3
| | S/N | 11.9 | 20.9 | 22.0
| | S/N(c) | 10.3 | 19.3 | 20.6
| | SN(E/C) | 0.54
|
|
|
|
|
|
|
| 8450017
| 47
| | Red | Green | Blue
| | z | | 18.62
| | znorm | | 14.44
| | sky | 13.9 | 13.8 | 13.9
| | S/N | 10.7 | 18.7 | 20.1
| | S/N(c) | 9.0 | 17.0 | 18.6
| | SN(E/C) | 0.54
|
|
|
|
|
|
|