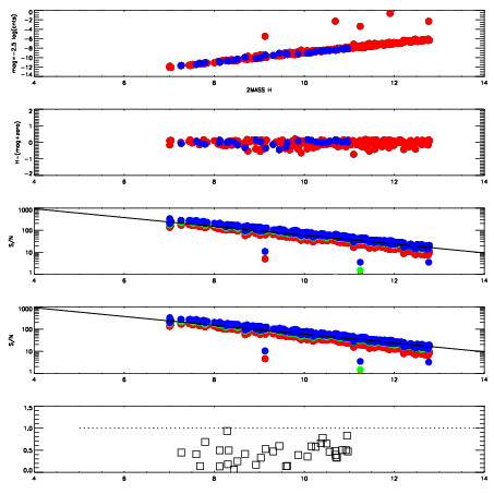
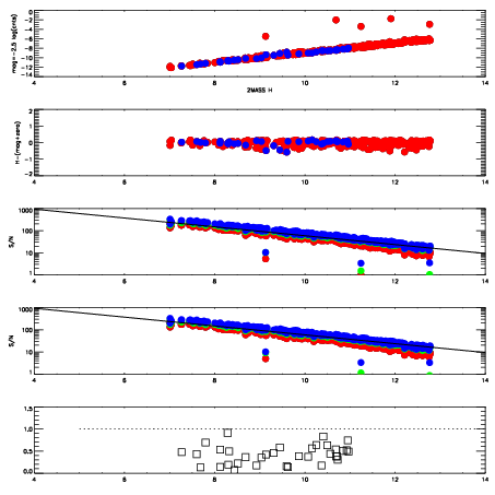
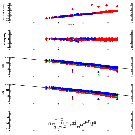
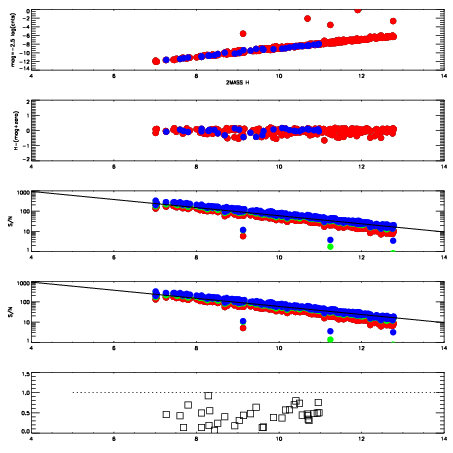
| Frame | Nreads | Zeropoints | Mag plots
| Spatial mag deviation
| Spatial sky 16325A emission deviations (filled: sky, open: star)
| Spatial sky continuum emission
| Spatial sky telluric CO2 absorption deviations (filled: H < 10)
|
| 8470034
| 47
| | Red | Green | Blue
| | z | | 18.94
| | znorm | | 14.76
| | sky | 14.4 | 14.1 | 14.0
| | S/N | 14.8 | 24.6 | 25.2
| | S/N(c) | 13.4 | 22.6 | 23.9
| | SN(E/C) | 0.43
|
|
|
|
|
|
|
| 8470035
| 47
| | Red | Green | Blue
| | z | | 18.98
| | znorm | | 14.80
| | sky | 14.4 | 14.3 | 14.4
| | S/N | 15.3 | 25.2 | 26.3
| | S/N(c) | 13.3 | 23.3 | 24.6
| | SN(E/C) | 0.46
|
|
|
|
|
|
|
| 8470036
| 47
| | Red | Green | Blue
| | z | | 18.96
| | znorm | | 14.78
| | sky | 14.5 | 14.4 | 14.5
| | S/N | 14.5 | 24.2 | 25.7
| | S/N(c) | 12.6 | 22.3 | 24.2
| | SN(E/C) | 0.44
|
|
|
|
|
|
|
| 8470037
| 47
| | Red | Green | Blue
| | z | | 18.74
| | znorm | | 14.56
| | sky | 14.3 | 14.2 | 14.4
| | S/N | 12.5 | 21.5 | 23.0
| | S/N(c) | 10.7 | 19.3 | 21.5
| | SN(E/C) | 0.49
|
|
|
|
|
|
|
| 8470038
| 47
| | Red | Green | Blue
| | z | | 18.52
| | znorm | | 14.34
| | sky | 14.2 | 14.0 | 14.1
| | S/N | 10.2 | 18.0 | 19.0
| | S/N(c) | 9.1 | 16.2 | 17.9
| | SN(E/C) | 0.56
|
|
|
|
|
|
|
| 8470039
| 47
| | Red | Green | Blue
| | z | | 18.98
| | znorm | | 14.80
| | sky | 14.3 | 14.3 | 14.3
| | S/N | 14.6 | 24.0 | 25.3
| | S/N(c) | 13.2 | 21.9 | 23.8
| | SN(E/C) | 0.43
|
|
|
|
|
|
|
| 8470040
| 47
| | Red | Green | Blue
| | z | | 19.02
| | znorm | | 14.84
| | sky | 14.4 | 14.3 | 14.3
| | S/N | 15.0 | 24.8 | 26.5
| | S/N(c) | 13.5 | 22.5 | 24.6
| | SN(E/C) | 0.45
|
|
|
|
|
|
|
| 8470041
| 47
| | Red | Green | Blue
| | z | | 18.97
| | znorm | | 14.79
| | sky | 14.3 | 14.2 | 14.3
| | S/N | 14.5 | 23.9 | 25.3
| | S/N(c) | 12.8 | 21.7 | 24.0
| | SN(E/C) | 0.44
|
|
|
|
|
|
|