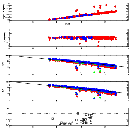
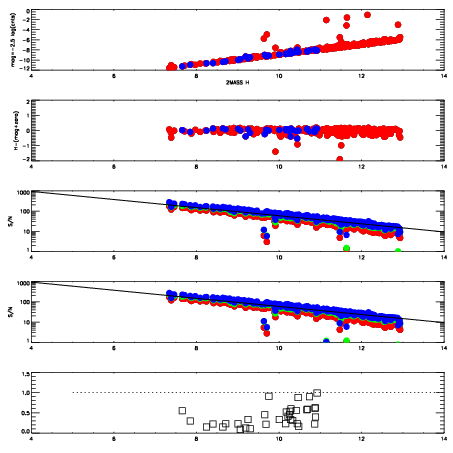
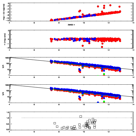
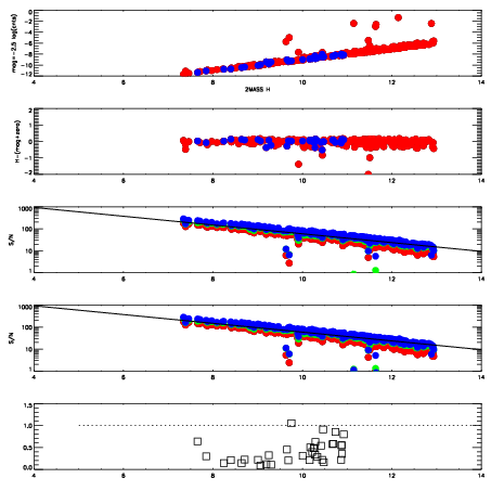
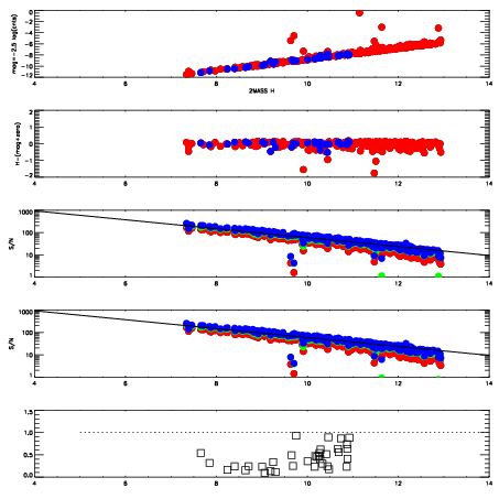
| Frame | Nreads | Zeropoints | Mag plots
| Spatial mag deviation
| Spatial sky 16325A emission deviations (filled: sky, open: star)
| Spatial sky continuum emission
| Spatial sky telluric CO2 absorption deviations (filled: H < 10)
|
| 4890036
| 47
| | Red | Green | Blue
| | z | | 18.76
| | znorm | | 14.57
| | sky | 13.7 | 13.6 | 13.6
| | S/N | 12.1 | 20.1 | 22.1
| | S/N(c) | 10.8 | 18.8 | 20.4
| | SN(E/C) | 0.40
|
|
|
|
|
|
|
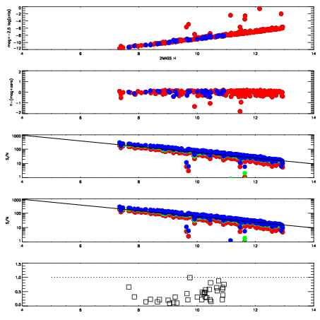
| 4890037
| 47
| | Red | Green | Blue
| | z | | 18.86
| | znorm | | 14.68
| | sky | 14.1 | 13.8 | 14.0
| | S/N | 13.5 | 22.0 | 24.5
| | S/N(c) | 12.1 | 20.5 | 23.0
| | SN(E/C) | 0.36
|
|
|
|
|
|
|
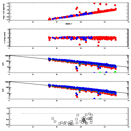
| 4890038
| 47
| | Red | Green | Blue
| | z | | 18.87
| | znorm | | 14.69
| | sky | 14.2 | 14.1 | 14.2
| | S/N | 13.3 | 22.4 | 24.6
| | S/N(c) | 12.1 | 21.0 | 23.2
| | SN(E/C) | 0.34
|
|
|
|
|
|
|
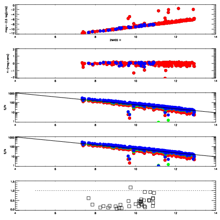
| 4890039
| 47
| | Red | Green | Blue
| | z | | 18.93
| | znorm | | 14.75
| | sky | 14.5 | 14.3 | 14.5
| | S/N | 14.2 | 23.6 | 25.4
| | S/N(c) | 12.6 | 21.9 | 24.1
| | SN(E/C) | 0.34
|
|
|
|
|
|
|
| 4890040
| 47
| | Red | Green | Blue
| | z | | 18.96
| | znorm | | 14.78
| | sky | 14.4 | 14.3 | 14.4
| | S/N | 14.4 | 24.1 | 25.9
| | S/N(c) | 13.0 | 22.7 | 24.8
| | SN(E/C) | 0.32
|
|
|
|
|
|
|
| 4890041
| 47
| | Red | Green | Blue
| | z | | 18.96
| | znorm | | 14.78
| | sky | 14.7 | 14.4 | 14.5
| | S/N | 14.3 | 24.2 | 26.1
| | S/N(c) | 13.0 | 22.4 | 24.8
| | SN(E/C) | 0.33
|
|
|
|
|
|
|
| 4890042
| 47
| | Red | Green | Blue
| | z | | 18.97
| | znorm | | 14.79
| | sky | 14.4 | 14.3 | 14.5
| | S/N | 14.6 | 24.4 | 26.3
| | S/N(c) | 12.9 | 22.8 | 25.0
| | SN(E/C) | 0.32
|
|
|
|
|
|
|
| 4890043
| 47
| | Red | Green | Blue
| | z | | 18.96
| | znorm | | 14.78
| | sky | 14.4 | 14.4 | 14.5
| | S/N | 14.5 | 24.1 | 25.9
| | S/N(c) | 12.9 | 22.4 | 24.5
| | SN(E/C) | 0.33
|
|
|
|
|
|
|