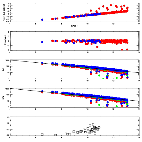
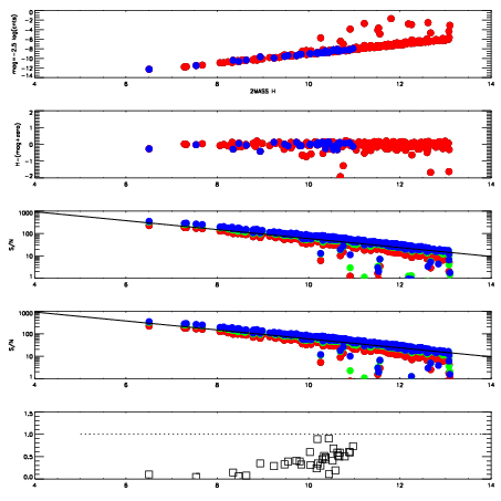
| Frame | Nreads | Zeropoints | Mag plots
| Spatial mag deviation
| Spatial sky 16325A emission deviations (filled: sky, open: star)
| Spatial sky continuum emission
| Spatial sky telluric CO2 absorption deviations (filled: H < 10)
|
| 4870026
| 47
| | Red | Green | Blue
| | z | | 18.95
| | znorm | | 14.77
| | sky | 14.9 | 14.7 | 14.6
| | S/N | 15.5 | 25.0 | 27.2
| | S/N(c) | 13.7 | 23.5 | 25.9
| | SN(E/C) | 0.40
|
|
|
|
|
|
|
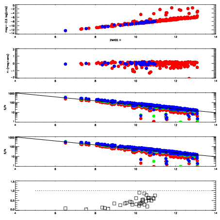
| 4870027
| 47
| | Red | Green | Blue
| | z | | 19.00
| | znorm | | 14.82
| | sky | 15.0 | 14.6 | 14.9
| | S/N | 15.5 | 25.6 | 27.9
| | S/N(c) | 13.8 | 24.1 | 26.4
| | SN(E/C) | 0.41
|
|
|
|
|
|
|
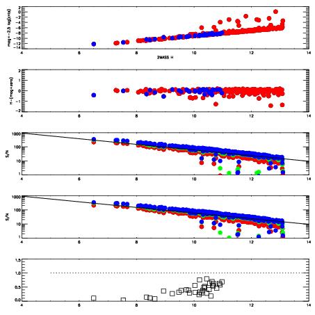
| 4870028
| 47
| | Red | Green | Blue
| | z | | 19.07
| | znorm | | 14.89
| | sky | 14.7 | 14.6 | 14.8
| | S/N | 15.7 | 26.4 | 28.9
| | S/N(c) | 14.1 | 24.8 | 27.3
| | SN(E/C) | 0.40
|
|
|
|
|
|
|
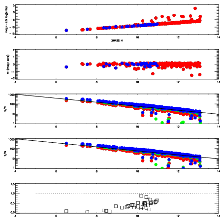
| 4870029
| 47
| | Red | Green | Blue
| | z | | 19.03
| | znorm | | 14.85
| | sky | 14.6 | 14.7 | 14.9
| | S/N | 15.8 | 26.3 | 28.3
| | S/N(c) | 14.2 | 24.6 | 26.9
| | SN(E/C) | 0.41
|
|
|
|
|
|
|
| 4870030
| 47
| | Red | Green | Blue
| | z | | 19.00
| | znorm | | 14.82
| | sky | 14.6 | 14.7 | 15.1
| | S/N | 15.2 | 25.9 | 28.1
| | S/N(c) | 13.5 | 24.3 | 26.4
| | SN(E/C) | 0.40
|
|
|
|
|
|
|
| 4870031
| 47
| | Red | Green | Blue
| | z | | 19.03
| | znorm | | 14.85
| | sky | 14.8 | 14.7 | 15.1
| | S/N | 15.9 | 26.2 | 28.6
| | S/N(c) | 14.3 | 24.3 | 26.9
| | SN(E/C) | 0.41
|
|
|
|
|
|
|
| 4870032
| 47
| | Red | Green | Blue
| | z | | 19.08
| | znorm | | 14.90
| | sky | 14.9 | 14.8 | 15.1
| | S/N | 16.4 | 27.2 | 29.6
| | S/N(c) | 14.9 | 25.3 | 28.0
| | SN(E/C) | 0.40
|
|
|
|
|
|
|
| 4870033
| 47
| | Red | Green | Blue
| | z | | 19.11
| | znorm | | 14.92
| | sky | 14.7 | 14.9 | 14.9
| | S/N | 16.4 | 27.7 | 29.8
| | S/N(c) | 14.8 | 25.5 | 28.1
| | SN(E/C) | 0.39
|
|
|
|
|
|
|