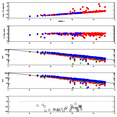
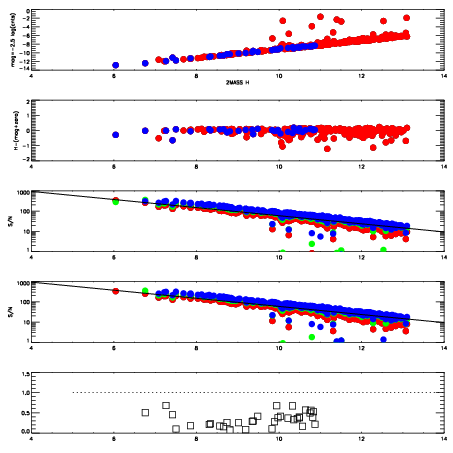
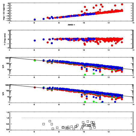
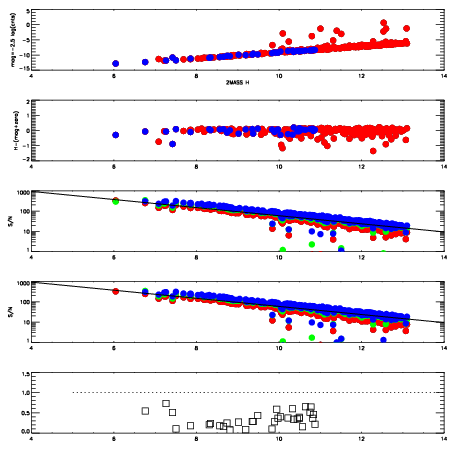
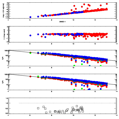
| Frame | Nreads | Zeropoints | Mag plots
| Spatial mag deviation
| Spatial sky 16325A emission deviations (filled: sky, open: star)
| Spatial sky continuum emission
| Spatial sky telluric CO2 absorption deviations (filled: H < 10)
|
| 4560058
| 47
| | Red | Green | Blue
| | z | | 19.12
| | znorm | | 14.94
| | sky | 14.9 | 14.4 | 14.6
| | S/N | 15.6 | 25.7 | 28.3
| | S/N(c) | 14.0 | 24.6 | 26.5
| | SN(E/C) | 0.34
|
|
|
|
|
|
|
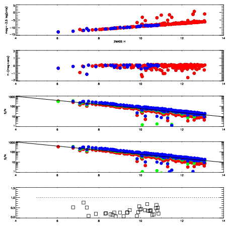
| 4560059
| 47
| | Red | Green | Blue
| | z | | 19.16
| | znorm | | 14.98
| | sky | 15.0 | 14.6 | 15.0
| | S/N | 15.3 | 25.9 | 28.1
| | S/N(c) | 13.8 | 24.2 | 26.6
| | SN(E/C) | 0.34
|
|
|
|
|
|
|
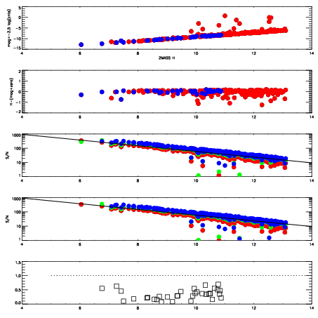
| 4560060
| 47
| | Red | Green | Blue
| | z | | 19.14
| | znorm | | 14.96
| | sky | 14.7 | 14.8 | 15.1
| | S/N | 15.4 | 26.1 | 28.5
| | S/N(c) | 13.8 | 24.5 | 26.7
| | SN(E/C) | 0.35
|
|
|
|
|
|
|
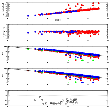
| 4560061
| 47
| | Red | Green | Blue
| | z | | 19.15
| | znorm | | 14.97
| | sky | 14.8 | 14.9 | 15.1
| | S/N | 15.3 | 26.2 | 28.6
| | S/N(c) | 14.0 | 24.7 | 26.9
| | SN(E/C) | 0.36
|
|
|
|
|
|
|
| 4560062
| 47
| | Red | Green | Blue
| | z | | 19.17
| | znorm | | 14.99
| | sky | 14.9 | 14.7 | 14.9
| | S/N | 15.5 | 26.4 | 29.1
| | S/N(c) | 13.7 | 24.9 | 27.5
| | SN(E/C) | 0.35
|
|
|
|
|
|
|
| 4560063
| 47
| | Red | Green | Blue
| | z | | 19.16
| | znorm | | 14.98
| | sky | 14.7 | 14.8 | 15.0
| | S/N | 15.8 | 26.3 | 28.3
| | S/N(c) | 14.2 | 24.7 | 27.0
| | SN(E/C) | 0.34
|
|
|
|
|
|
|
| 4560064
| 47
| | Red | Green | Blue
| | z | | 19.17
| | znorm | | 14.98
| | sky | 15.1 | 14.9 | 15.0
| | S/N | 15.6 | 26.1 | 28.2
| | S/N(c) | 13.8 | 24.4 | 26.5
| | SN(E/C) | 0.36
|
|
|
|
|
|
|
| 4560065
| 47
| | Red | Green | Blue
| | z | | 19.15
| | znorm | | 14.97
| | sky | 14.9 | 15.0 | 15.0
| | S/N | 15.6 | 25.9 | 28.0
| | S/N(c) | 13.9 | 24.2 | 26.0
| | SN(E/C) | 0.35
|
|
|
|
|
|
|