PLATE: 5752 MJD: 56345 FIELD: 089+70

FrameCartsec zseeingNreadsDitherPixshiftZerosky continuumS/NS/N(c)
7830082 1 1.03 1.98 47 0.00 -0.00 18.66 [14.98,14.58,14.60] [ 11.5, 19.4, 22.6] [ 10.0, 18.3, 21.0]
7830083 1 1.03 1.92 47 0.42 -0.00 18.57 [15.23,14.84,15.14] [ 10.4, 18.5, 21.1] [ 9.3, 16.9, 19.7]
7830084 1 1.02 2.18 47 0.41 0.00 18.65 [15.71,14.87,15.15] [ 11.2, 19.2, 22.2] [ 9.7, 17.7, 21.1]
7830085 1 1.02 2.16 47 0.01 0.00 18.61 [15.47,14.92,15.20] [ 10.9, 19.0, 21.7] [ 9.3, 17.5, 20.7]
7830086 1 1.02 1.93 47 0.01 0.00 18.66 [15.12,15.01,15.29] [ 11.4, 19.5, 22.6] [ 9.6, 17.6, 21.5]
7830087 1 1.02 1.63 47 0.41 0.00 18.64 [15.08,15.13,15.30] [ 11.1, 19.3, 22.0] [ 9.6, 17.5, 20.9]
7830088 1 1.02 1.78 47 0.42 -0.00 18.67 [15.25,14.97,15.32] [ 11.2, 19.5, 22.4] [ 9.4, 17.7, 21.3]
7830089 1 1.02 1.83 47 0.01 0.00 18.62 [15.22,15.03,15.32] [ 11.3, 19.4, 21.8] [ 9.6, 17.5, 20.7]

IPAIRNAMESHIFTNEWSHIFTS/N NAMESHIFTNEWSHIFTS/N
0 07830083 0.422 0.000 186.12 07830082 0.000 0.422 190.34
1 07830088 0.416 0.007 202.01 07830086 0.006 0.416 201.56
2 07830087 0.412 0.010 199.66 07830089 0.009 0.414 197.84
3 07830084 0.408 0.015 192.48 07830085 0.010 0.412 195.92

Visit (multiple exposure and dither combined) spectra

FrameZeropointsMag plots Spatial mag deviation Spatial sky 16325A emission deviations (filled: sky, open: star) Spatial sky continuum emission Spatial sky telluric CO2 absorption deviations (filled: H < 10)
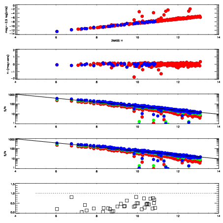
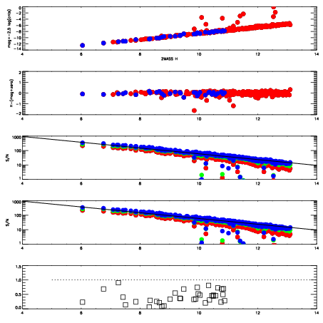
7830082
RedGreenBlue
z18.66
znorm14.48
sky 15.0 14.6 14.6
S/N 11.5 19.4 22.6
S/N(c) 10.0 18.3 21.0
SN(E/C) 0.39
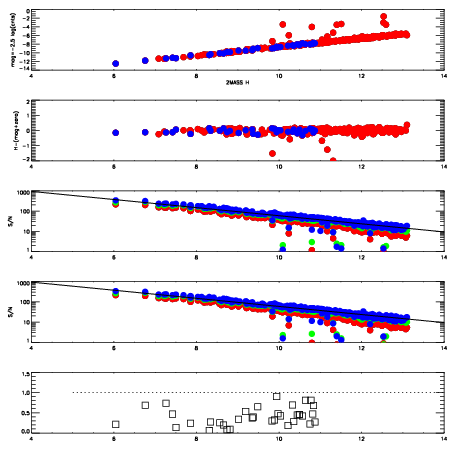
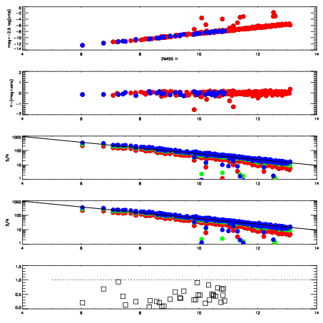
7830083
RedGreenBlue
z18.57
znorm14.39
sky 15.2 14.8 15.1
S/N 10.4 18.5 21.1
S/N(c) 9.3 16.9 19.7
SN(E/C) 0.39
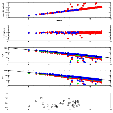
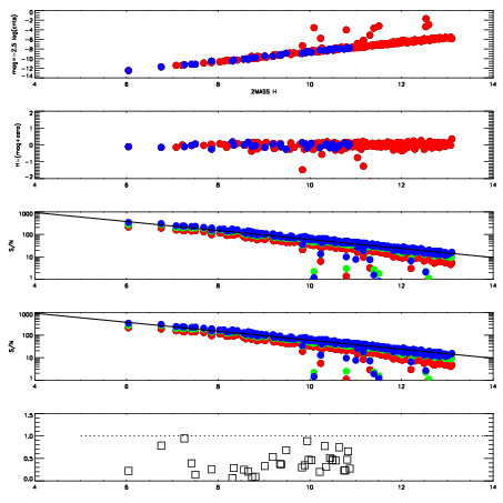
7830084
RedGreenBlue
z18.65
znorm14.47
sky 15.7 14.9 15.1
S/N 11.2 19.2 22.2
S/N(c) 9.7 17.7 21.1
SN(E/C) 0.39
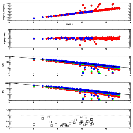
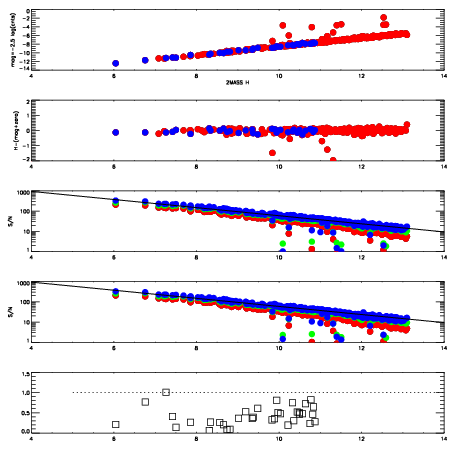
7830085
RedGreenBlue
z18.61
znorm14.43
sky 15.5 14.9 15.2
S/N 10.9 19.0 21.7
S/N(c) 9.3 17.5 20.7
SN(E/C) 0.36
7830086
RedGreenBlue
z18.66
znorm14.48
sky 15.1 15.0 15.3
S/N 11.4 19.5 22.6
S/N(c) 9.6 17.6 21.5
SN(E/C) 0.36
7830087
RedGreenBlue
z18.64
znorm14.46
sky 15.1 15.1 15.3
S/N 11.1 19.3 22.0
S/N(c) 9.6 17.5 20.9
SN(E/C) 0.38
7830088
RedGreenBlue
z18.67
znorm14.49
sky 15.2 15.0 15.3
S/N 11.2 19.5 22.4
S/N(c) 9.4 17.7 21.3
SN(E/C) 0.35
7830089
RedGreenBlue
z18.62
znorm14.44
sky 15.2 15.0 15.3
S/N 11.3 19.4 21.8
S/N(c) 9.6 17.5 20.7
SN(E/C) 0.36