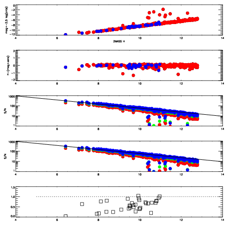
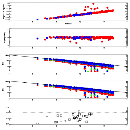
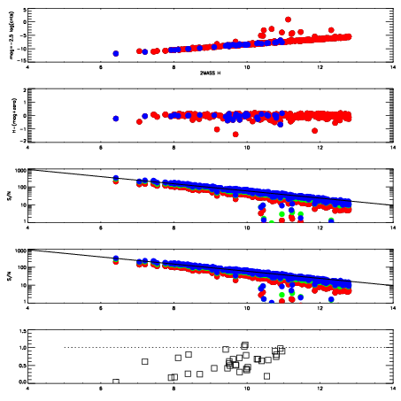
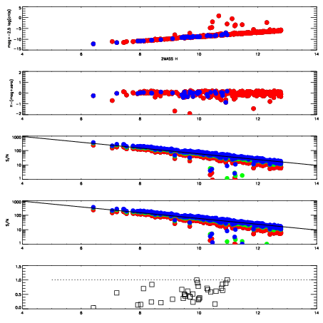
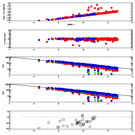
| Frame | Nreads | Zeropoints | Mag plots
| Spatial mag deviation
| Spatial sky 16325A emission deviations (filled: sky, open: star)
| Spatial sky continuum emission
| Spatial sky telluric CO2 absorption deviations (filled: H < 10)
|
| 8760037
| 47
| | Red | Green | Blue
| | z | | 18.80
| | znorm | | 14.62
| | sky | 14.4 | 14.2 | 14.4
| | S/N | 14.3 | 23.3 | 25.8
| | S/N(c) | 12.6 | 22.0 | 24.2
| | SN(E/C) | 0.52
|
|
|
|
|
|
|
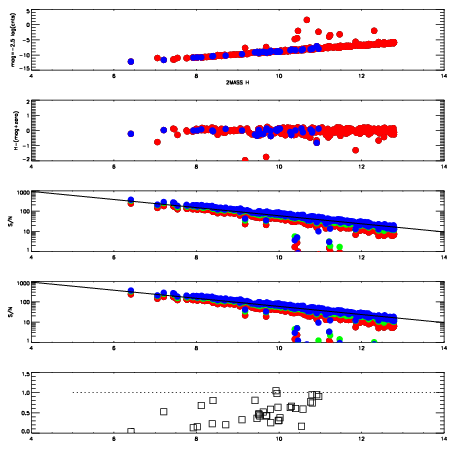
| 8760038
| 47
| | Red | Green | Blue
| | z | | 18.80
| | znorm | | 14.62
| | sky | 14.4 | 14.3 | 14.4
| | S/N | 14.3 | 23.1 | 26.2
| | S/N(c) | 12.7 | 21.7 | 24.8
| | SN(E/C) | 0.51
|
|
|
|
|
|
|
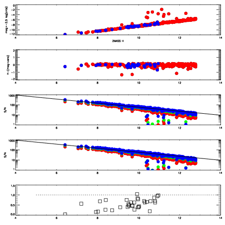
| 8760039
| 47
| | Red | Green | Blue
| | z | | 18.45
| | znorm | | 14.27
| | sky | 14.7 | 14.4 | 14.8
| | S/N | 11.0 | 18.4 | 20.3
| | S/N(c) | 9.5 | 17.4 | 19.1
| | SN(E/C) | 0.61
|
|
|
|
|
|
|
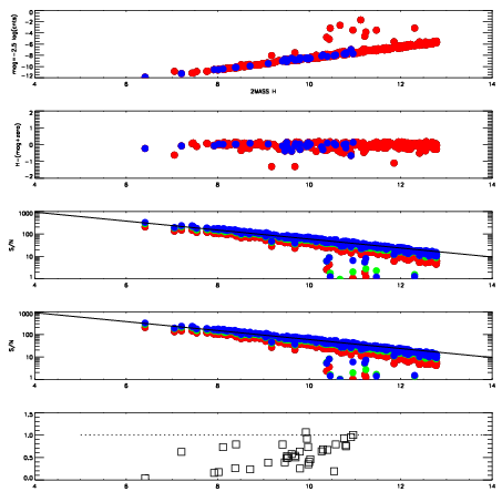
| 8760040
| 47
| | Red | Green | Blue
| | z | | 18.29
| | znorm | | 14.11
| | sky | 14.6 | 14.6 | 15.0
| | S/N | 9.7 | 16.9 | 18.8
| | S/N(c) | 8.5 | 15.9 | 17.5
| | SN(E/C) | 0.61
|
|
|
|
|
|
|
| 8760041
| 47
| | Red | Green | Blue
| | z | | 18.52
| | znorm | | 14.34
| | sky | 14.4 | 14.6 | 14.8
| | S/N | 11.3 | 19.8 | 22.0
| | S/N(c) | 9.9 | 18.5 | 20.6
| | SN(E/C) | 0.57
|
|
|
|
|
|
|
| 8760042
| 47
| | Red | Green | Blue
| | z | | 18.46
| | znorm | | 14.28
| | sky | 14.5 | 14.6 | 15.0
| | S/N | 10.9 | 18.8 | 20.8
| | S/N(c) | 9.5 | 17.6 | 19.4
| | SN(E/C) | 0.61
|
|
|
|
|
|
|
| 8760043
| 47
| | Red | Green | Blue
| | z | | 18.52
| | znorm | | 14.34
| | sky | 14.7 | 14.5 | 14.8
| | S/N | 11.5 | 19.9 | 21.8
| | S/N(c) | 9.9 | 18.6 | 20.5
| | SN(E/C) | 0.58
|
|
|
|
|
|
|
| 8760044
| 47
| | Red | Green | Blue
| | z | | 18.54
| | znorm | | 14.36
| | sky | 14.8 | 14.7 | 14.7
| | S/N | 11.6 | 20.4 | 21.9
| | S/N(c) | 10.0 | 18.9 | 20.6
| | SN(E/C) | 0.55
|
|
|
|
|
|
|