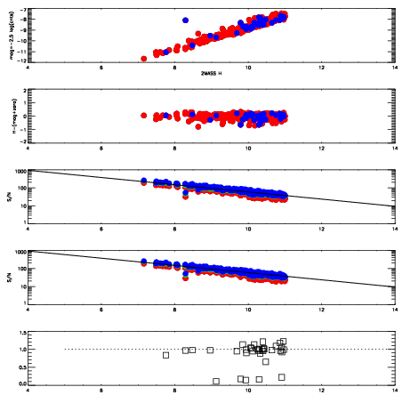
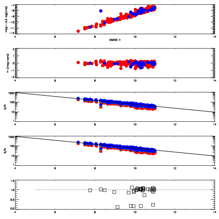
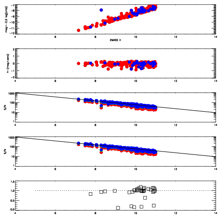
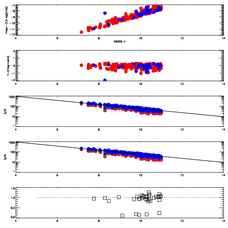
Left plots: red are targets, blue are telluric. Observed mags are calculated from median value of green chip. Zeropoint gives overall throughput: bigger number is more throughput.
First spatial plots: circles are objects, squares are tellurics, crosses are sky fibers. Colors give deviation of observed mag from expected 2MASS mag using the median zeropoint; red is brighter
Second spatial plots: circles are sky fibers. Colors give sky line brightness relative to plate median sky line brightness
FrameNreadsZeropointsMag plots Spatial mag deviation Spatial sky 16325A emission deviations (filled: sky, open: star) Spatial sky continuum emission Spatial sky telluric CO2 absorption deviations (filled: H < 10)
8260066 47
RedGreenBlue
z18.58
znorm14.39
sky 13.8 13.6 13.6
S/N 14.3 20.7 21.1
S/N(c) 13.0 19.0 20.2
SN(E/C) 0.98
8260067 47
RedGreenBlue
z18.60
znorm14.42
sky 13.8 13.8 13.8
S/N 14.2 20.6 21.9
S/N(c) 13.0 19.0 20.5
SN(E/C) 0.99
8260068 47
RedGreenBlue
z18.53
znorm14.35
sky 13.9 13.8 13.8
S/N 13.5 20.0 20.5
S/N(c) 12.3 18.9 19.6
SN(E/C) 0.99
8260069 47
RedGreenBlue
z18.76
znorm14.58
sky 13.7 13.8 13.7
S/N 15.7 22.2 23.8
S/N(c) 14.5 20.9 22.2
SN(E/C) 0.98