PLATE: 5816 MJD: 56415 FIELD: 000-02

FrameCartsec zseeingNreadsDitherPixshiftZerosky continuumS/NS/N(c)
8530063 4 2.22 2.28 47 0.00 0.00 18.39 [13.87,13.65,13.52] [ 13.2, 19.5, 19.4] [ 11.9, 17.7, 18.8]
8530064 4 2.20 2.16 47 0.70 0.00 18.58 [13.83,13.70,13.67] [ 14.3, 21.2, 21.2] [ 12.9, 19.3, 20.4]
8530065 4 2.19 1.86 47 0.67 -0.00 18.78 [13.79,13.73,13.65] [ 16.2, 22.9, 23.9] [ 14.8, 20.9, 22.7]
8530066 4 2.18 1.77 47 0.21 0.00 18.79 [13.78,13.71,13.67] [ 15.6, 22.2, 23.6] [ 14.4, 20.4, 22.4]
8530067 4 2.18 1.78 47 0.21 0.00 18.80 [13.93,13.71,13.68] [ 15.6, 22.1, 23.8] [ 14.0, 20.7, 22.7]
8530068 4 2.18 1.95 47 0.69 0.00 18.64 [13.78,13.77,13.64] [ 14.2, 20.6, 21.8] [ 13.0, 19.0, 20.8]
8530069 4 2.19 1.90 47 0.69 -0.00 18.66 [13.84,13.68,13.69] [ 14.4, 20.6, 22.4] [ 13.0, 19.2, 20.8]
8530070 4 2.20 1.94 47 0.21 0.00 18.75 [13.81,13.70,13.58] [ 15.0, 21.2, 23.3] [ 13.4, 19.8, 21.6]

IPAIRNAMESHIFTNEWSHIFTS/N NAMESHIFTNEWSHIFTS/N
0 08530064 0.701 0.000 232.03 08530063 0.000 0.701 213.63
1 08530065 0.672 0.029 252.86 08530067 0.211 0.490 253.09
2 08530069 0.691 0.010 235.08 08530066 0.207 0.494 252.75
3 08530068 0.689 0.013 233.82 08530070 0.208 0.493 244.38

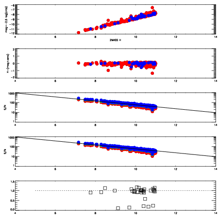
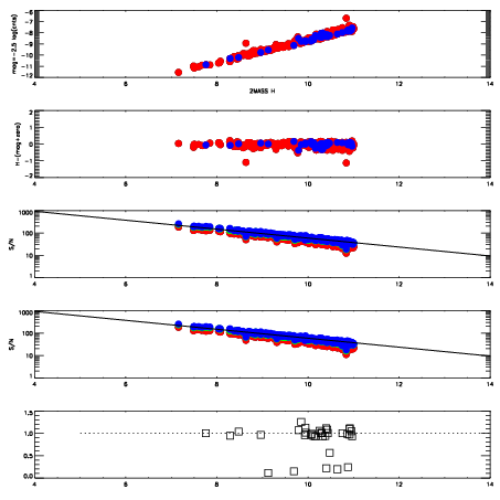
Visit (multiple exposure and dither combined) spectra

FrameZeropointsMag plots Spatial mag deviation Spatial sky 16325A emission deviations (filled: sky, open: star) Spatial sky continuum emission Spatial sky telluric CO2 absorption deviations (filled: H < 10)
8530063
RedGreenBlue
z18.39
znorm14.21
sky 13.9 13.6 13.5
S/N 13.2 19.5 19.4
S/N(c) 11.9 17.7 18.8
SN(E/C) 0.97
8530064
RedGreenBlue
z18.58
znorm14.40
sky 13.8 13.7 13.7
S/N 14.3 21.2 21.2
S/N(c) 12.9 19.3 20.4
SN(E/C) 0.99
8530065
RedGreenBlue
z18.78
znorm14.60
sky 13.8 13.7 13.7
S/N 16.2 22.9 23.9
S/N(c) 14.8 20.9 22.7
SN(E/C) 1.00
8530066
RedGreenBlue
z18.79
znorm14.60
sky 13.8 13.7 13.7
S/N 15.6 22.2 23.6
S/N(c) 14.4 20.4 22.4
SN(E/C) 0.98
8530067
RedGreenBlue
z18.80
znorm14.62
sky 13.9 13.7 13.7
S/N 15.6 22.1 23.8
S/N(c) 14.0 20.7 22.7
SN(E/C) 0.97
8530068
RedGreenBlue
z18.64
znorm14.46
sky 13.8 13.8 13.6
S/N 14.2 20.6 21.8
S/N(c) 13.0 19.0 20.8
SN(E/C) 0.97
8530069
RedGreenBlue
z18.66
znorm14.48
sky 13.8 13.7 13.7
S/N 14.4 20.6 22.4
S/N(c) 13.0 19.2 20.8
SN(E/C) 0.99
8530070
RedGreenBlue
z18.75
znorm14.57
sky 13.8 13.7 13.6
S/N 15.0 21.2 23.3
S/N(c) 13.4 19.8 21.6
SN(E/C) 0.96