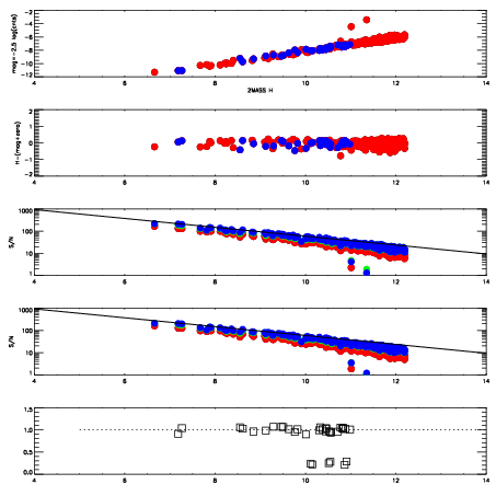
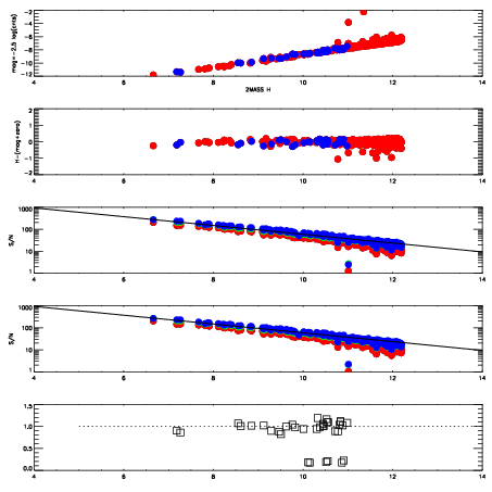
| Frame | Nreads | Zeropoints | Mag plots
| Spatial mag deviation
| Spatial sky 16325A emission deviations (filled: sky, open: star)
| Spatial sky continuum emission
| Spatial sky telluric CO2 absorption deviations (filled: H < 10)
|
| 4590030
| 47
| | Red | Green | Blue
| | z | | 17.92
| | znorm | | 13.74
| | sky | 14.1 | 14.0 | 14.0
| | S/N | 7.7 | 13.9 | 13.5
| | S/N(c) | 6.6 | 12.5 | 12.4
| | SN(E/C) | 1.00
|
|
|
|
|
|
|
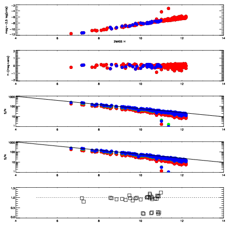
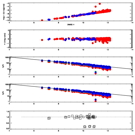
| 4590031
| 47
| | Red | Green | Blue
| | z | | 18.09
| | znorm | | 13.91
| | sky | 14.3 | 14.2 | 14.3
| | S/N | 8.4 | 15.0 | 14.8
| | S/N(c) | 7.2 | 13.2 | 13.4
| | SN(E/C) | 0.99
|
|
|
|
|
|
|
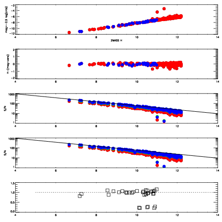
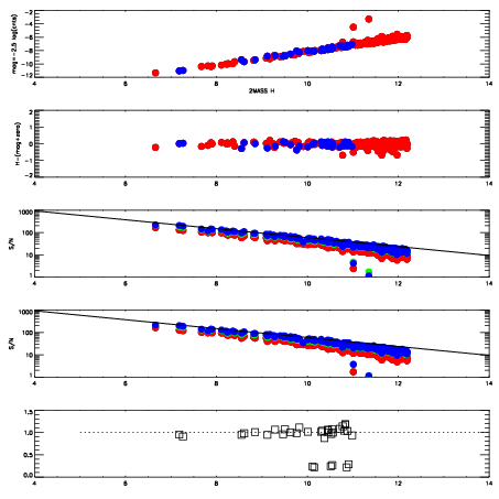
| 4590032
| 47
| | Red | Green | Blue
| | z | | 18.19
| | znorm | | 14.01
| | sky | 14.4 | 14.3 | 14.3
| | S/N | 9.0 | 15.7 | 15.9
| | S/N(c) | 7.6 | 14.1 | 14.4
| | SN(E/C) | 1.01
|
|
|
|
|
|
|
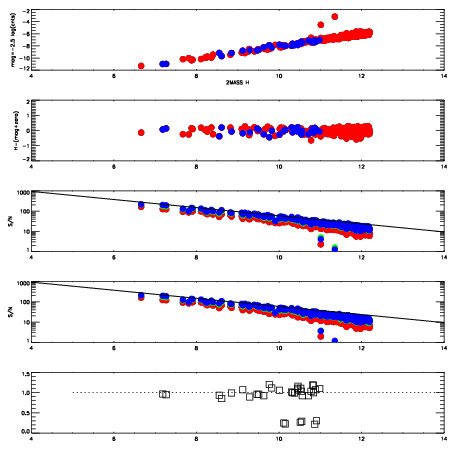
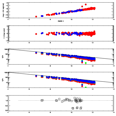
| 4590033
| 47
| | Red | Green | Blue
| | z | | 18.33
| | znorm | | 14.15
| | sky | 14.4 | 14.3 | 14.3
| | S/N | 9.8 | 16.7 | 17.1
| | S/N(c) | 8.3 | 15.0 | 15.5
| | SN(E/C) | 0.97
|
|
|
|
|
|
|
| 4590034
| 47
| | Red | Green | Blue
| | z | | 18.22
| | znorm | | 14.04
| | sky | 14.4 | 14.3 | 14.3
| | S/N | 9.0 | 15.5 | 15.8
| | S/N(c) | 7.5 | 14.0 | 14.1
| | SN(E/C) | 0.98
|
|
|
|
|
|
|
| 4590035
| 47
| | Red | Green | Blue
| | z | | 18.21
| | znorm | | 14.03
| | sky | 14.6 | 14.2 | 14.3
| | S/N | 9.2 | 15.5 | 15.7
| | S/N(c) | 7.6 | 13.8 | 14.2
| | SN(E/C) | 1.00
|
|
|
|
|
|
|
| 4590036
| 47
| | Red | Green | Blue
| | z | | 18.58
| | znorm | | 14.40
| | sky | 14.4 | 14.3 | 14.3
| | S/N | 11.5 | 18.9 | 19.1
| | S/N(c) | 9.7 | 16.8 | 17.5
| | SN(E/C) | 0.98
|
|
|
|
|
|
|
| 4590037
| 47
| | Red | Green | Blue
| | z | | 18.70
| | znorm | | 14.52
| | sky | 14.2 | 14.2 | 14.2
| | S/N | 12.3 | 20.4 | 21.0
| | S/N(c) | 10.5 | 18.2 | 19.1
| | SN(E/C) | 1.00
|
|
|
|
|
|
|