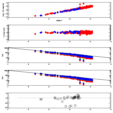
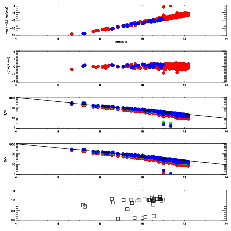
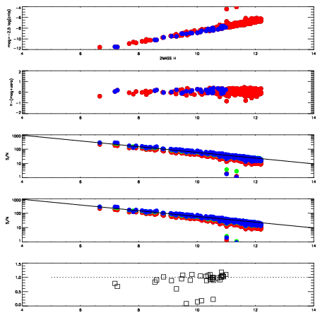
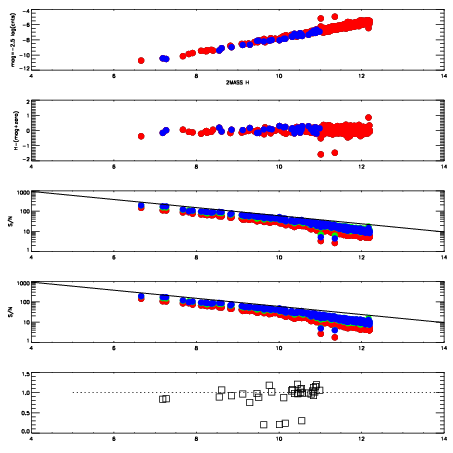
| Frame | Nreads | Zeropoints | Mag plots
| Spatial mag deviation
| Spatial sky 16325A emission deviations (filled: sky, open: star)
| Spatial sky continuum emission
| Spatial sky telluric CO2 absorption deviations (filled: H < 10)
|
| 6050011
| 47
| | Red | Green | Blue
| | z | | 18.60
| | znorm | | 14.42
| | sky | 13.7 | 13.6 | 13.4
| | S/N | 11.8 | 19.6 | 18.5
| | S/N(c) | 10.5 | 17.3 | 17.2
| | SN(E/C) | 0.97
|
|
|
|
|
|
|
| 6050012
| 47
| | Red | Green | Blue
| | z | | 18.54
| | znorm | | 14.36
| | sky | 13.8 | 13.7 | 13.6
| | S/N | 11.3 | 18.7 | 18.2
| | S/N(c) | 9.7 | 16.8 | 16.8
| | SN(E/C) | 0.99
|
|
|
|
|
|
|
| 6050013
| 47
| | Red | Green | Blue
| | z | | 18.37
| | znorm | | 14.19
| | sky | 13.9 | 13.8 | 13.7
| | S/N | 9.6 | 16.8 | 16.4
| | S/N(c) | 8.4 | 15.1 | 15.0
| | SN(E/C) | 0.95
|
|
|
|
|
|
|
| 6050014
| 47
| | Red | Green | Blue
| | z | | 18.25
| | znorm | | 14.07
| | sky | 13.9 | 13.9 | 13.8
| | S/N | 8.7 | 15.7 | 14.9
| | S/N(c) | 7.7 | 13.7 | 13.8
| | SN(E/C) | 0.99
|
|
|
|
|
|
|
| 6050015
| 47
| | Red | Green | Blue
| | z | | 18.15
| | znorm | | 13.97
| | sky | 13.8 | 13.9 | 13.8
| | S/N | 8.1 | 14.5 | 13.6
| | S/N(c) | 7.0 | 12.8 | 12.7
| | SN(E/C) | 1.00
|
|
|
|
|
|
|
| 6050016
| 47
| | Red | Green | Blue
| | z | | 17.77
| | znorm | | 13.59
| | sky | 14.0 | 13.9 | 13.9
| | S/N | 6.0 | 11.4 | 10.4
| | S/N(c) | 5.0 | 10.0 | 9.9
| | SN(E/C) | 0.98
|
|
|
|
|
|
|
| 6050017
| 47
| | Red | Green | Blue
| | z | | 17.47
| | znorm | | 13.29
| | sky | 13.9 | 13.9 | 13.8
| | S/N | 4.5 | 9.1 | 8.1
| | S/N(c) | 3.9 | 7.9 | 8.0
| | SN(E/C) | 1.02
|
|
|
|
|
|
|
| 6050018
| 47
| | Red | Green | Blue
| | z | | 17.09
| | znorm | | 12.91
| | sky | 13.9 | 13.9 | 13.9
| | S/N | 3.2 | 6.6 | 6.0
| | S/N(c) | 3.0 | 5.8 | 6.0
| | SN(E/C) | 1.02
|
|
|
|
|
|
|