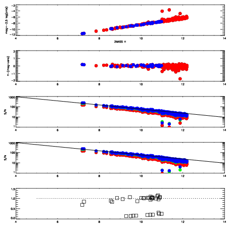
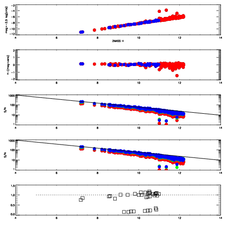
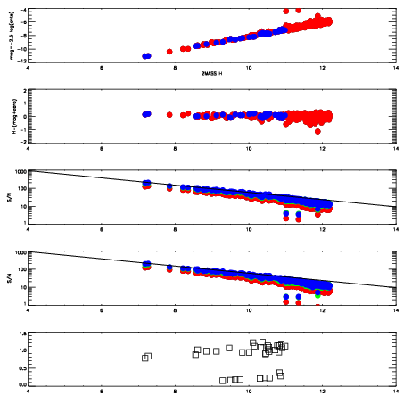
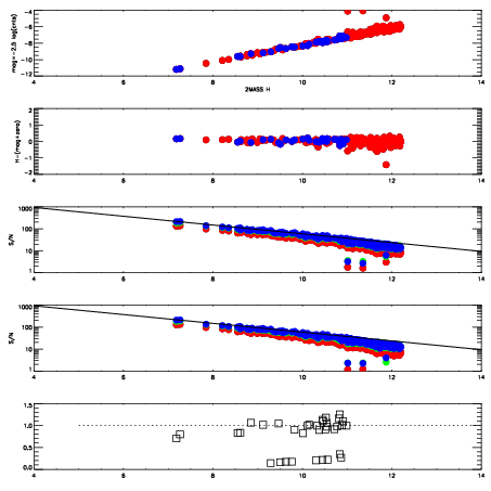
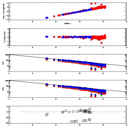
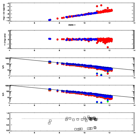
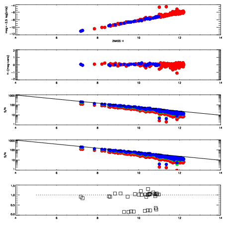
| Frame | Nreads | Zeropoints | Mag plots
| Spatial mag deviation
| Spatial sky 16325A emission deviations (filled: sky, open: star)
| Spatial sky continuum emission
| Spatial sky telluric CO2 absorption deviations (filled: H < 10)
|
| 6070010
| 47
| | Red | Green | Blue
| | z | | 18.36
| | znorm | | 14.18
| | sky | 13.8 | 13.5 | 13.5
| | S/N | 9.7 | 16.3 | 15.9
| | S/N(c) | 8.3 | 14.6 | 14.4
| | SN(E/C) | 0.95
|
|
|
|
|
|
|
| 6070011
| 47
| | Red | Green | Blue
| | z | | 18.40
| | znorm | | 14.22
| | sky | 13.9 | 13.8 | 13.7
| | S/N | 9.8 | 16.5 | 16.0
| | S/N(c) | 8.3 | 14.5 | 14.5
| | SN(E/C) | 0.97
|
|
|
|
|
|
|
| 6070012
| 47
| | Red | Green | Blue
| | z | | 18.16
| | znorm | | 13.98
| | sky | 13.7 | 13.7 | 13.7
| | S/N | 8.2 | 14.0 | 13.9
| | S/N(c) | 6.9 | 12.2 | 12.5
| | SN(E/C) | 0.97
|
|
|
|
|
|
|
| 6070013
| 47
| | Red | Green | Blue
| | z | | 18.09
| | znorm | | 13.91
| | sky | 13.9 | 13.9 | 13.9
| | S/N | 7.6 | 13.6 | 13.4
| | S/N(c) | 6.5 | 11.8 | 11.9
| | SN(E/C) | 0.98
|
|
|
|
|
|
|
| 6070014
| 47
| | Red | Green | Blue
| | z | | 18.20
| | znorm | | 14.02
| | sky | 14.1 | 13.9 | 14.0
| | S/N | 8.7 | 14.8 | 14.8
| | S/N(c) | 7.2 | 12.9 | 13.1
| | SN(E/C) | 0.92
|
|
|
|
|
|
|
| 6070015
| 47
| | Red | Green | Blue
| | z | | 18.10
| | znorm | | 13.92
| | sky | 14.0 | 14.0 | 14.1
| | S/N | 7.9 | 14.1 | 13.8
| | S/N(c) | 6.6 | 12.1 | 12.3
| | SN(E/C) | 0.96
|
|
|
|
|
|
|
| 6070016
| 47
| | Red | Green | Blue
| | z | | 18.17
| | znorm | | 13.99
| | sky | 14.0 | 14.0 | 14.0
| | S/N | 8.4 | 14.8 | 14.4
| | S/N(c) | 6.9 | 12.6 | 13.0
| | SN(E/C) | 0.98
|
|
|
|
|
|
|
| 6070017
| 47
| | Red | Green | Blue
| | z | | 18.14
| | znorm | | 13.96
| | sky | 14.0 | 13.9 | 14.0
| | S/N | 8.2 | 14.2 | 14.1
| | S/N(c) | 6.7 | 12.2 | 12.5
| | SN(E/C) | 1.01
|
|
|
|
|
|
|