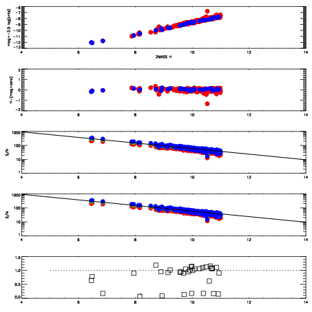
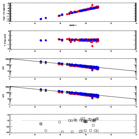
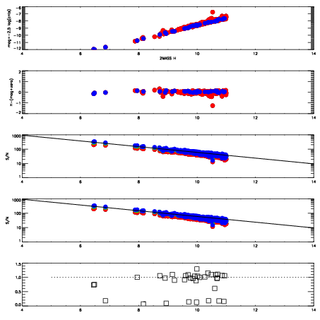
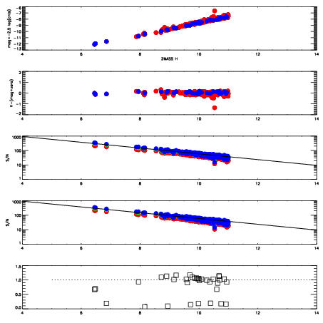
| Frame | Nreads | Zeropoints | Mag plots
| Spatial mag deviation
| Spatial sky 16325A emission deviations (filled: sky, open: star)
| Spatial sky continuum emission
| Spatial sky telluric CO2 absorption deviations (filled: H < 10)
|
| 8360144
| 47
| | Red | Green | Blue
| | z | | 18.69
| | znorm | | 14.51
| | sky | 14.2 | 14.1 | 14.0
| | S/N | 16.3 | 22.1 | 21.4
| | S/N(c) | 14.8 | 20.5 | 20.1
| | SN(E/C) | 0.88
|
|
|
|
|
|
|
| 8360145
| 47
| | Red | Green | Blue
| | z | | 18.64
| | znorm | | 14.46
| | sky | 14.1 | 14.2 | 14.1
| | S/N | 15.5 | 21.2 | 21.0
| | S/N(c) | 14.3 | 19.8 | 19.5
| | SN(E/C) | 0.95
|
|
|
|
|
|
|
| 8360146
| 47
| | Red | Green | Blue
| | z | | 18.55
| | znorm | | 14.37
| | sky | 14.1 | 14.1 | 14.2
| | S/N | 14.6 | 20.4 | 19.8
| | S/N(c) | 13.4 | 18.9 | 18.1
| | SN(E/C) | 0.97
|
|
|
|
|
|
|
| 8360147
| 47
| | Red | Green | Blue
| | z | | 18.59
| | znorm | | 14.41
| | sky | 14.1 | 14.1 | 14.1
| | S/N | 14.8 | 20.7 | 20.4
| | S/N(c) | 13.7 | 19.2 | 19.0
| | SN(E/C) | 0.95
|
|
|
|
|
|
|
| 8360148
| 47
| | Red | Green | Blue
| | z | | 18.55
| | znorm | | 14.37
| | sky | 14.0 | 14.1 | 14.1
| | S/N | 14.4 | 20.1 | 19.9
| | S/N(c) | 13.2 | 18.7 | 18.5
| | SN(E/C) | 0.99
|
|
|
|
|
|
|
| 8360149
| 47
| | Red | Green | Blue
| | z | | 18.67
| | znorm | | 14.49
| | sky | 13.9 | 14.0 | 13.9
| | S/N | 15.4 | 21.5 | 20.8
| | S/N(c) | 14.2 | 19.7 | 19.2
| | SN(E/C) | 0.94
|
|
|
|
|
|
|