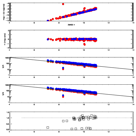
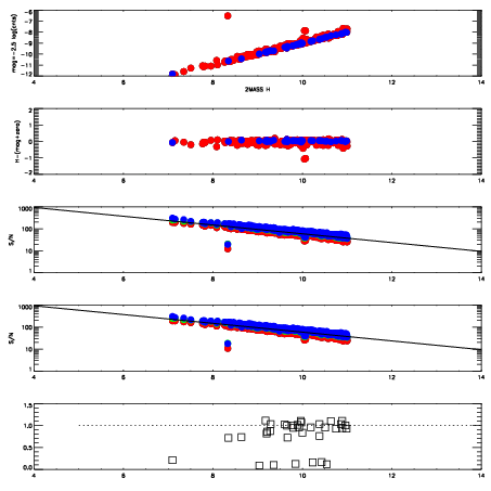
Left plots: red are targets, blue are telluric. Observed mags are calculated from median value of green chip. Zeropoint gives overall throughput: bigger number is more throughput.
First spatial plots: circles are objects, squares are tellurics, crosses are sky fibers. Colors give deviation of observed mag from expected 2MASS mag using the median zeropoint; red is brighter
Second spatial plots: circles are sky fibers. Colors give sky line brightness relative to plate median sky line brightness
FrameNreadsZeropointsMag plots Spatial mag deviation Spatial sky 16325A emission deviations (filled: sky, open: star) Spatial sky continuum emission Spatial sky telluric CO2 absorption deviations (filled: H < 10)
8400072 47
RedGreenBlue
z18.97
znorm14.79
sky 14.3 14.1 14.0
S/N 17.8 25.1 25.6
S/N(c) 16.7 23.8 24.4
SN(E/C) 0.94
8400073 47
RedGreenBlue
z19.02
znorm14.84
sky 14.4 14.2 14.2
S/N 17.9 25.2 26.3
S/N(c) 16.9 24.0 25.0
SN(E/C) 0.96