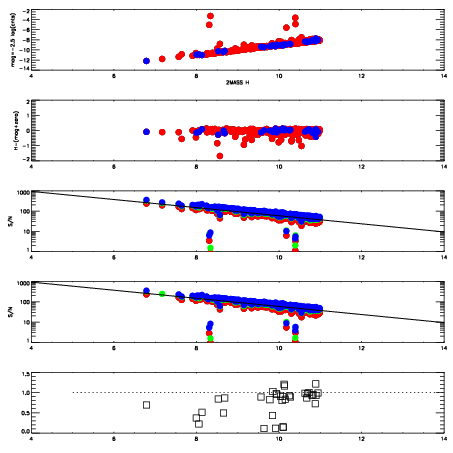
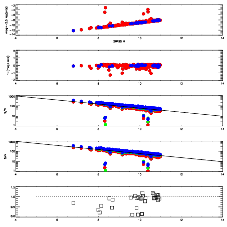
| Frame | Nreads | Zeropoints | Mag plots
| Spatial mag deviation
| Spatial sky 16325A emission deviations (filled: sky, open: star)
| Spatial sky continuum emission
| Spatial sky telluric CO2 absorption deviations (filled: H < 10)
|
| 4600080
| 47
| | Red | Green | Blue
| | z | | 19.09
| | znorm | | 14.91
| | sky | 14.1 | 13.9 | 13.8
| | S/N | 18.7 | 25.7 | 28.6
| | S/N(c) | 17.4 | 24.5 | 27.0
| | SN(E/C) | 0.88
|
|
|
|
|
|
|
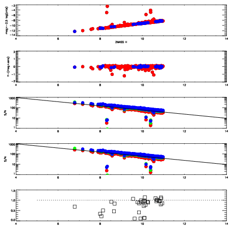
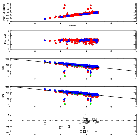
| 4600081
| 47
| | Red | Green | Blue
| | z | | 19.03
| | znorm | | 14.85
| | sky | 14.1 | 14.0 | 14.0
| | S/N | 18.2 | 25.7 | 27.8
| | S/N(c) | 16.6 | 24.1 | 26.5
| | SN(E/C) | 0.90
|
|
|
|
|
|
|
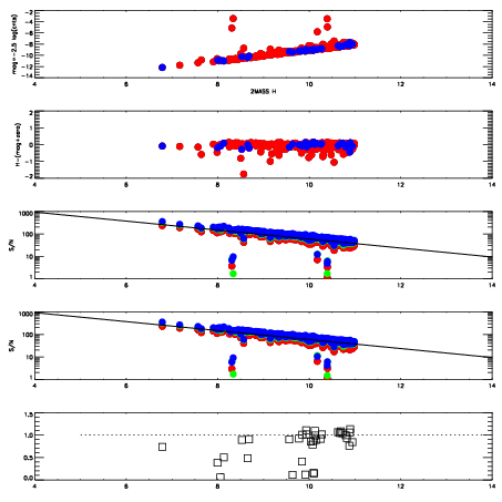
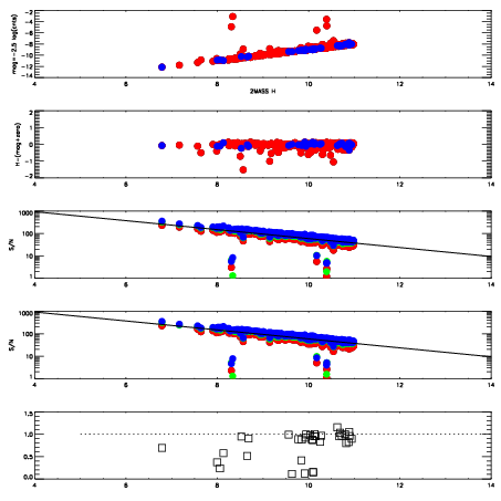
| 4600082
| 47
| | Red | Green | Blue
| | z | | 19.05
| | znorm | | 14.87
| | sky | 14.1 | 14.0 | 14.0
| | S/N | 18.2 | 25.8 | 28.3
| | S/N(c) | 16.8 | 24.5 | 26.9
| | SN(E/C) | 0.89
|
|
|
|
|
|
|
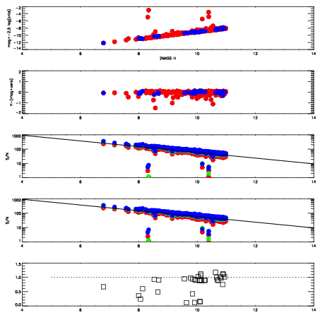
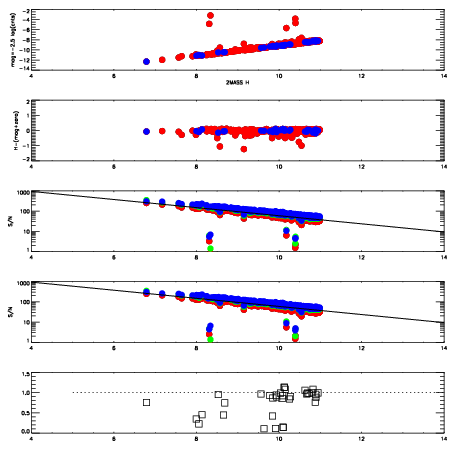
| 4600083
| 47
| | Red | Green | Blue
| | z | | 18.98
| | znorm | | 14.80
| | sky | 14.1 | 14.1 | 14.2
| | S/N | 17.5 | 25.2 | 27.7
| | S/N(c) | 16.2 | 24.0 | 26.1
| | SN(E/C) | 0.89
|
|
|
|
|
|
|
| 4600084
| 47
| | Red | Green | Blue
| | z | | 19.02
| | znorm | | 14.84
| | sky | 14.2 | 14.2 | 14.2
| | S/N | 18.3 | 25.9 | 28.3
| | S/N(c) | 16.9 | 24.7 | 26.9
| | SN(E/C) | 0.90
|
|
|
|
|
|
|
| 4600085
| 47
| | Red | Green | Blue
| | z | | 19.07
| | znorm | | 14.89
| | sky | 14.2 | 14.2 | 14.2
| | S/N | 18.5 | 26.4 | 28.9
| | S/N(c) | 17.3 | 25.3 | 27.5
| | SN(E/C) | 0.92
|
|
|
|
|
|
|
| 4600086
| 47
| | Red | Green | Blue
| | z | | 19.16
| | znorm | | 14.98
| | sky | 14.2 | 14.3 | 14.2
| | S/N | 19.6 | 27.9 | 30.3
| | S/N(c) | 18.4 | 26.3 | 29.0
| | SN(E/C) | 0.90
|
|
|
|
|
|
|
| 4600087
| 47
| | Red | Green | Blue
| | z | | 19.17
| | znorm | | 14.99
| | sky | 14.2 | 14.2 | 14.1
| | S/N | 19.8 | 28.0 | 30.8
| | S/N(c) | 18.4 | 26.5 | 29.2
| | SN(E/C) | 0.90
|
|
|
|
|
|
|