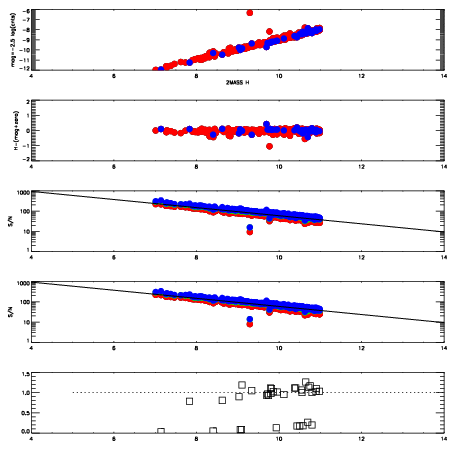
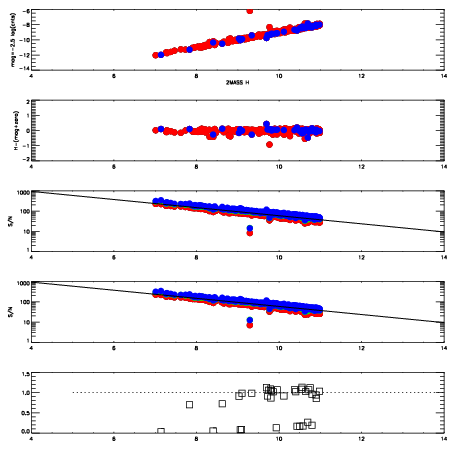
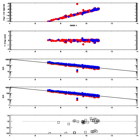
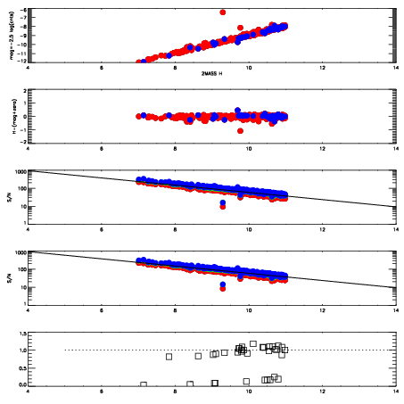
Left plots: red are targets, blue are telluric. Observed mags are calculated from median value of green chip. Zeropoint gives overall throughput: bigger number is more throughput.
First spatial plots: circles are objects, squares are tellurics, crosses are sky fibers. Colors give deviation of observed mag from expected 2MASS mag using the median zeropoint; red is brighter
Second spatial plots: circles are sky fibers. Colors give sky line brightness relative to plate median sky line brightness
FrameNreadsZeropointsMag plots Spatial mag deviation Spatial sky 16325A emission deviations (filled: sky, open: star) Spatial sky continuum emission Spatial sky telluric CO2 absorption deviations (filled: H < 10)
4730010 47
RedGreenBlue
z18.91
znorm14.73
sky 14.4 14.1 14.2
S/N 17.9 25.4 26.0
S/N(c) 16.6 24.0 24.7
SN(E/C) 0.91
4730011 47
RedGreenBlue
z19.02
znorm14.84
sky 14.4 14.3 14.4
S/N 18.7 26.4 27.5
S/N(c) 17.3 25.1 26.1
SN(E/C) 0.94
4730012 47
RedGreenBlue
z18.98
znorm14.80
sky 14.4 14.4 14.3
S/N 18.0 25.7 26.9
S/N(c) 16.7 24.2 25.4
SN(E/C) 0.98
4730013 47
RedGreenBlue
z18.98
znorm14.80
sky 14.1 14.0 14.0
S/N 17.9 25.6 26.7
S/N(c) 16.6 24.3 25.2
SN(E/C) 0.94