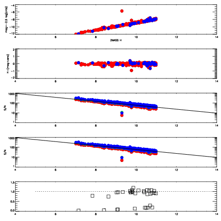
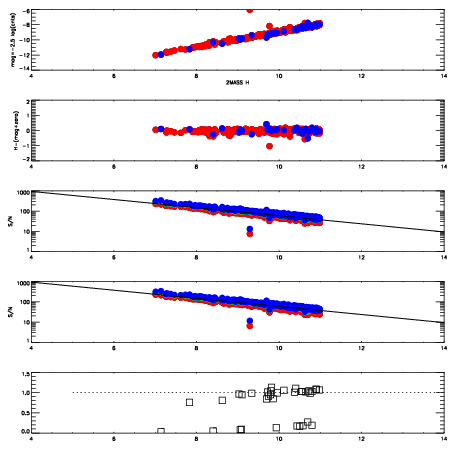
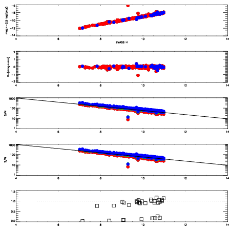
Left plots: red are targets, blue are telluric. Observed mags are calculated from median value of green chip. Zeropoint gives overall throughput: bigger number is more throughput.
First spatial plots: circles are objects, squares are tellurics, crosses are sky fibers. Colors give deviation of observed mag from expected 2MASS mag using the median zeropoint; red is brighter
Second spatial plots: circles are sky fibers. Colors give sky line brightness relative to plate median sky line brightness
FrameNreadsZeropointsMag plots Spatial mag deviation Spatial sky 16325A emission deviations (filled: sky, open: star) Spatial sky continuum emission Spatial sky telluric CO2 absorption deviations (filled: H < 10)
4740010 47
RedGreenBlue
z18.92
znorm14.74
sky 14.3 14.1 14.1
S/N 18.1 25.3 26.0
S/N(c) 16.7 24.1 24.9
SN(E/C) 0.93
4740011 47
RedGreenBlue
z18.98
znorm14.80
sky 14.4 14.3 14.4
S/N 18.2 25.7 26.9
S/N(c) 16.9 24.4 25.6
SN(E/C) 0.96
4740012 47
RedGreenBlue
z19.06
znorm14.88
sky 14.5 14.3 14.4
S/N 19.0 26.8 28.2
S/N(c) 17.6 25.4 26.7
SN(E/C) 0.90
4740013 47
RedGreenBlue
z19.03
znorm14.85
sky 14.4 14.3 14.4
S/N 18.6 26.4 27.6
S/N(c) 17.3 24.9 26.0
SN(E/C) 0.92