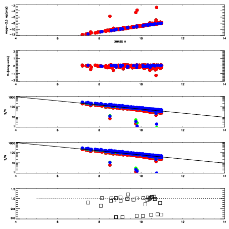
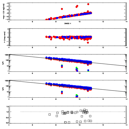
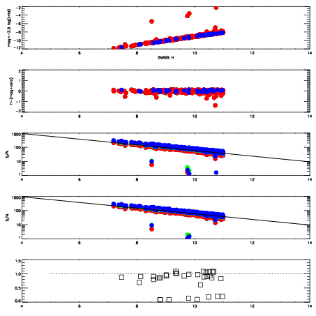
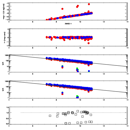
Left plots: red are targets, blue are telluric. Observed mags are calculated from median value of green chip. Zeropoint gives overall throughput: bigger number is more throughput.
First spatial plots: circles are objects, squares are tellurics, crosses are sky fibers. Colors give deviation of observed mag from expected 2MASS mag using the median zeropoint; red is brighter
Second spatial plots: circles are sky fibers. Colors give sky line brightness relative to plate median sky line brightness
FrameNreadsZeropointsMag plots Spatial mag deviation Spatial sky 16325A emission deviations (filled: sky, open: star) Spatial sky continuum emission Spatial sky telluric CO2 absorption deviations (filled: H < 10)
4760022 47
RedGreenBlue
z18.94
znorm14.76
sky 14.4 14.3 14.1
S/N 17.6 25.6 26.2
S/N(c) 16.2 24.4 25.0
SN(E/C) 0.91
4760023 47
RedGreenBlue
z18.88
znorm14.70
sky 14.2 14.3 14.4
S/N 17.0 24.4 25.9
S/N(c) 15.6 23.2 24.7
SN(E/C) 0.96
4760024 47
RedGreenBlue
z19.00
znorm14.82
sky 14.4 14.3 14.3
S/N 18.2 26.0 27.5
S/N(c) 16.5 24.7 26.2
SN(E/C) 0.91
4760025 47
RedGreenBlue
z19.04
znorm14.86
sky 14.2 14.3 14.3
S/N 18.3 26.5 27.9
S/N(c) 17.1 25.2 26.6
SN(E/C) 0.89