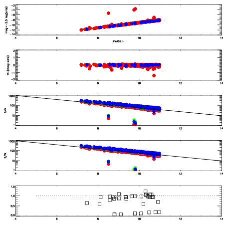
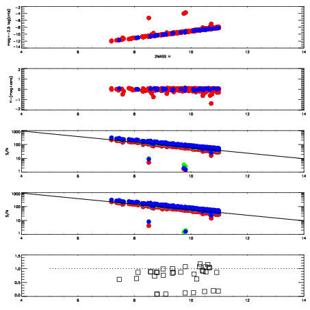
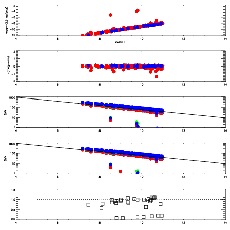
Left plots: red are targets, blue are telluric. Observed mags are calculated from median value of green chip. Zeropoint gives overall throughput: bigger number is more throughput.
First spatial plots: circles are objects, squares are tellurics, crosses are sky fibers. Colors give deviation of observed mag from expected 2MASS mag using the median zeropoint; red is brighter
Second spatial plots: circles are sky fibers. Colors give sky line brightness relative to plate median sky line brightness
FrameNreadsZeropointsMag plots Spatial mag deviation Spatial sky 16325A emission deviations (filled: sky, open: star) Spatial sky continuum emission Spatial sky telluric CO2 absorption deviations (filled: H < 10)
4770012 47
RedGreenBlue
z19.07
znorm14.89
sky 14.2 14.1 14.1
S/N 19.2 27.3 28.2
S/N(c) 18.0 26.4 27.0
SN(E/C) 0.85
4770013 47
RedGreenBlue
z19.12
znorm14.94
sky 14.1 14.4 14.4
S/N 19.3 27.7 28.8
S/N(c) 18.1 26.6 27.5
SN(E/C) 0.93
4770014 47
RedGreenBlue
z19.11
znorm14.93
sky 14.3 14.3 14.4
S/N 19.2 27.6 28.8
S/N(c) 18.1 26.6 27.7
SN(E/C) 0.87
4770015 47
RedGreenBlue
z19.10
znorm14.92
sky 14.1 14.3 14.3
S/N 19.0 27.5 28.5
S/N(c) 17.9 26.2 27.3
SN(E/C) 0.92