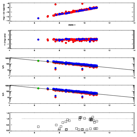
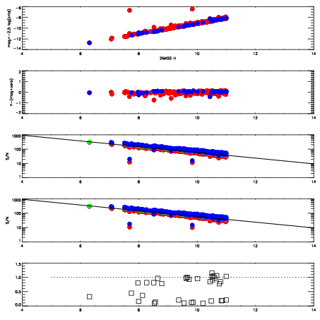
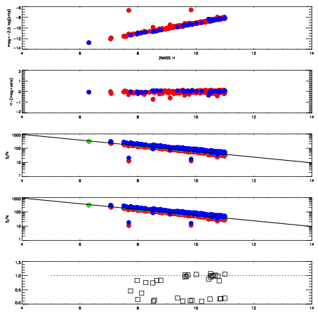
| Frame | Nreads | Zeropoints | Mag plots
| Spatial mag deviation
| Spatial sky 16325A emission deviations (filled: sky, open: star)
| Spatial sky continuum emission
| Spatial sky telluric CO2 absorption deviations (filled: H < 10)
|
| 4790010
| 47
| | Red | Green | Blue
| | z | | 19.05
| | znorm | | 14.87
| | sky | 14.3 | 14.3 | 14.2
| | S/N | 19.2 | 27.0 | 28.3
| | S/N(c) | 18.3 | 25.7 | 26.9
| | SN(E/C) | 0.69
|
|
|
|
|
|
|
| 4790011
| 47
| | Red | Green | Blue
| | z | | 19.09
| | znorm | | 14.91
| | sky | 14.3 | 14.3 | 14.3
| | S/N | 19.5 | 27.3 | 28.8
| | S/N(c) | 18.4 | 26.3 | 27.3
| | SN(E/C) | 0.75
|
|
|
|
|
|
|
| 4790012
| 47
| | Red | Green | Blue
| | z | | 19.10
| | znorm | | 14.92
| | sky | 14.2 | 14.2 | 14.4
| | S/N | 19.6 | 27.3 | 28.8
| | S/N(c) | 18.6 | 26.3 | 27.3
| | SN(E/C) | 0.80
|
|
|
|
|
|
|
| 4790013
| 47
| | Red | Green | Blue
| | z | | 19.11
| | znorm | | 14.93
| | sky | 14.3 | 14.3 | 14.4
| | S/N | 19.8 | 27.5 | 29.0
| | S/N(c) | 18.6 | 26.5 | 27.5
| | SN(E/C) | 0.82
|
|
|
|
|
|
|
| 4790014
| 47
| | Red | Green | Blue
| | z | | 19.12
| | znorm | | 14.94
| | sky | 14.2 | 14.2 | 14.4
| | S/N | 19.7 | 27.6 | 29.1
| | S/N(c) | 18.6 | 26.4 | 27.5
| | SN(E/C) | 0.81
|
|
|
|
|
|
|
| 4790015
| 47
| | Red | Green | Blue
| | z | | 19.11
| | znorm | | 14.93
| | sky | 14.0 | 14.2 | 14.3
| | S/N | 19.4 | 27.4 | 28.8
| | S/N(c) | 18.3 | 26.1 | 27.2
| | SN(E/C) | 0.83
|
|
|
|
|
|
|