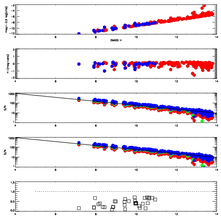
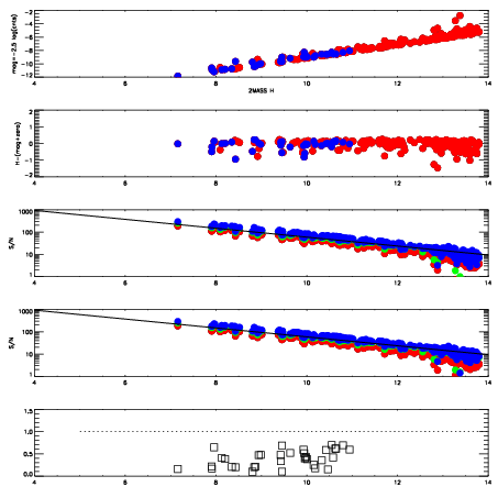
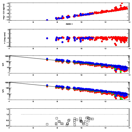
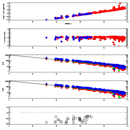
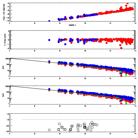
| Frame | Nreads | Zeropoints | Mag plots
| Spatial mag deviation
| Spatial sky 16325A emission deviations (filled: sky, open: star)
| Spatial sky continuum emission
| Spatial sky telluric CO2 absorption deviations (filled: H < 10)
|
| 5240030
| 47
| | Red | Green | Blue
| | z | | 19.02
| | znorm | | 14.84
| | sky | 14.3 | 14.0 | 13.9
| | S/N | 14.9 | 24.8 | 26.3
| | S/N(c) | 13.8 | 23.9 | 25.8
| | SN(E/C) | 0.40
|
|
|
|
|
|
|
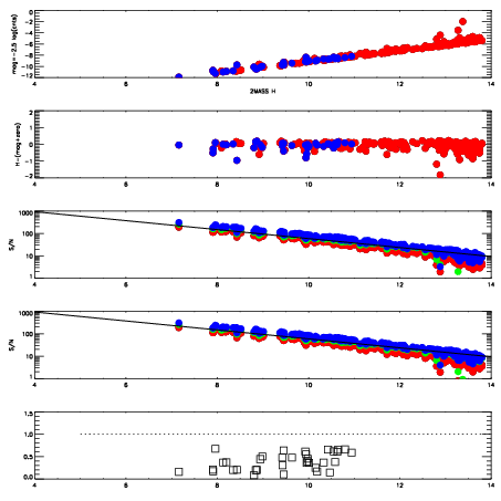
| 5240031
| 47
| | Red | Green | Blue
| | z | | 19.04
| | znorm | | 14.86
| | sky | 14.2 | 14.1 | 14.3
| | S/N | 15.3 | 25.6 | 27.2
| | S/N(c) | 14.2 | 24.6 | 26.1
| | SN(E/C) | 0.39
|
|
|
|
|
|
|
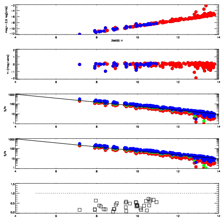
| 5240032
| 47
| | Red | Green | Blue
| | z | | 19.02
| | znorm | | 14.84
| | sky | 14.3 | 14.2 | 14.3
| | S/N | 14.7 | 25.1 | 26.0
| | S/N(c) | 13.2 | 24.1 | 25.2
| | SN(E/C) | 0.42
|
|
|
|
|
|
|
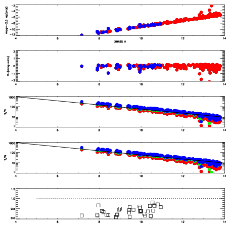
| 5240033
| 47
| | Red | Green | Blue
| | z | | 19.03
| | znorm | | 14.85
| | sky | 14.5 | 14.3 | 14.3
| | S/N | 15.2 | 25.2 | 26.6
| | S/N(c) | 13.9 | 24.3 | 25.7
| | SN(E/C) | 0.39
|
|
|
|
|
|
|
| 5240034
| 47
| | Red | Green | Blue
| | z | | 19.11
| | znorm | | 14.93
| | sky | 14.6 | 14.4 | 14.4
| | S/N | 15.8 | 26.7 | 28.1
| | S/N(c) | 14.6 | 25.5 | 27.2
| | SN(E/C) | 0.38
|
|
|
|
|
|
|
| 5240035
| 47
| | Red | Green | Blue
| | z | | 19.11
| | znorm | | 14.93
| | sky | 14.3 | 14.4 | 14.6
| | S/N | 16.3 | 26.9 | 28.0
| | S/N(c) | 14.9 | 25.8 | 26.9
| | SN(E/C) | 0.37
|
|
|
|
|
|
|
| 5240036
| 47
| | Red | Green | Blue
| | z | | 19.10
| | znorm | | 14.92
| | sky | 14.5 | 14.5 | 14.5
| | S/N | 15.8 | 26.5 | 28.0
| | S/N(c) | 14.6 | 25.4 | 27.1
| | SN(E/C) | 0.39
|
|
|
|
|
|
|
| 5240037
| 47
| | Red | Green | Blue
| | z | | 19.13
| | znorm | | 14.95
| | sky | 14.4 | 14.5 | 14.5
| | S/N | 16.5 | 27.1 | 28.7
| | S/N(c) | 15.2 | 25.9 | 27.7
| | SN(E/C) | 0.37
|
|
|
|
|
|
|