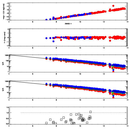
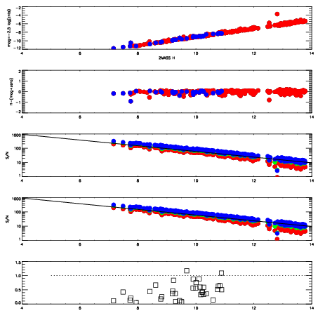
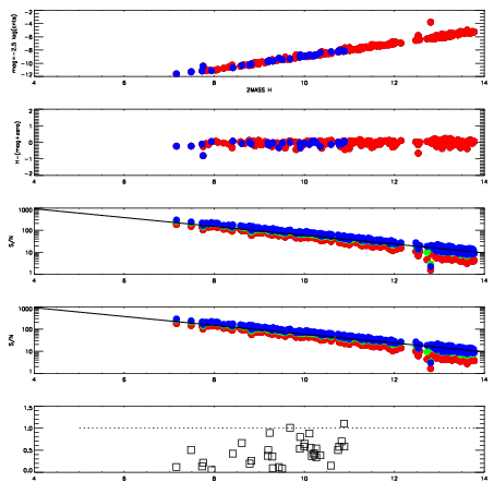
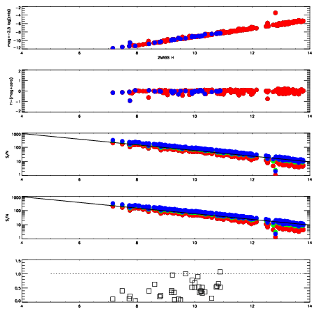
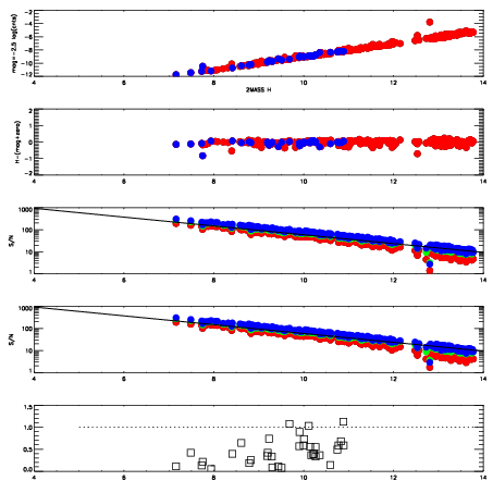
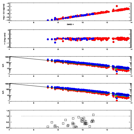
| Frame | Nreads | Zeropoints | Mag plots
| Spatial mag deviation
| Spatial sky 16325A emission deviations (filled: sky, open: star)
| Spatial sky continuum emission
| Spatial sky telluric CO2 absorption deviations (filled: H < 10)
|
| 4900069
| 47
| | Red | Green | Blue
| | z | | 19.00
| | znorm | | 14.82
| | sky | 14.7 | 14.6 | 14.4
| | S/N | 14.3 | 23.8 | 25.0
| | S/N(c) | 12.3 | 22.3 | 23.8
| | SN(E/C) | 0.43
|
|
|
|
|
|
|
| 4900070
| 47
| | Red | Green | Blue
| | z | | 19.03
| | znorm | | 14.85
| | sky | 14.6 | 14.5 | 14.6
| | S/N | 14.3 | 23.9 | 25.7
| | S/N(c) | 12.3 | 22.4 | 24.3
| | SN(E/C) | 0.42
|
|
|
|
|
|
|
| 4900071
| 47
| | Red | Green | Blue
| | z | | 19.13
| | znorm | | 14.95
| | sky | 14.7 | 14.7 | 14.7
| | S/N | 15.1 | 25.3 | 27.1
| | S/N(c) | 13.1 | 23.6 | 25.8
| | SN(E/C) | 0.42
|
|
|
|
|
|
|
| 4900072
| 47
| | Red | Green | Blue
| | z | | 19.15
| | znorm | | 14.97
| | sky | 14.5 | 14.8 | 14.9
| | S/N | 15.3 | 25.7 | 27.6
| | S/N(c) | 13.4 | 24.0 | 26.2
| | SN(E/C) | 0.38
|
|
|
|
|
|
|
| 4900073
| 47
| | Red | Green | Blue
| | z | | 19.12
| | znorm | | 14.94
| | sky | 14.7 | 14.7 | 14.7
| | S/N | 15.3 | 25.8 | 27.6
| | S/N(c) | 13.4 | 23.9 | 26.1
| | SN(E/C) | 0.40
|
|
|
|
|
|
|
| 4900074
| 47
| | Red | Green | Blue
| | z | | 19.08
| | znorm | | 14.90
| | sky | 14.7 | 14.7 | 14.8
| | S/N | 14.5 | 24.5 | 26.3
| | S/N(c) | 12.5 | 22.7 | 24.8
| | SN(E/C) | 0.43
|
|
|
|
|
|
|
| 4900075
| 47
| | Red | Green | Blue
| | z | | 19.05
| | znorm | | 14.87
| | sky | 14.9 | 14.7 | 14.8
| | S/N | 14.8 | 24.8 | 26.6
| | S/N(c) | 12.6 | 23.0 | 25.0
| | SN(E/C) | 0.40
|
|
|
|
|
|
|
| 4900076
| 47
| | Red | Green | Blue
| | z | | 19.15
| | znorm | | 14.97
| | sky | 15.0 | 14.8 | 14.9
| | S/N | 15.3 | 25.6 | 27.5
| | S/N(c) | 13.3 | 23.8 | 26.0
| | SN(E/C) | 0.39
|
|
|
|
|
|
|