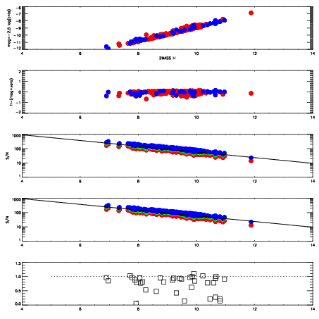
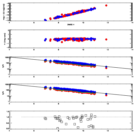
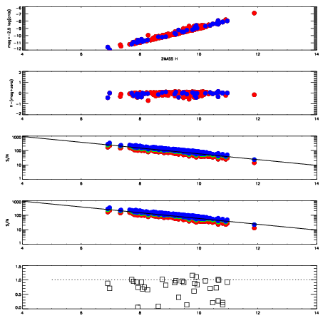
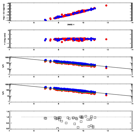
| Frame | Nreads | Zeropoints | Mag plots
| Spatial mag deviation
| Spatial sky 16325A emission deviations (filled: sky, open: star)
| Spatial sky continuum emission
| Spatial sky telluric CO2 absorption deviations (filled: H < 10)
|
| 4630034
| 47
| | Red | Green | Blue
| | z | | 18.92
| | znorm | | 14.74
| | sky | 14.4 | 14.2 | 14.3
| | S/N | 12.3 | 20.1 | 20.3
| | S/N(c) | 11.2 | 19.2 | 19.1
| | SN(E/C) | 0.83
|
|
|
|
|
|
|
| 4630035
| 47
| | Red | Green | Blue
| | z | | 18.95
| | znorm | | 14.77
| | sky | 14.4 | 14.4 | 14.5
| | S/N | 12.3 | 20.4 | 20.5
| | S/N(c) | 11.3 | 19.2 | 19.3
| | SN(E/C) | 0.84
|
|
|
|
|
|
|
| 4630036
| 47
| | Red | Green | Blue
| | z | | 18.95
| | znorm | | 14.77
| | sky | 14.3 | 14.4 | 14.5
| | S/N | 12.3 | 20.5 | 20.5
| | S/N(c) | 11.5 | 19.3 | 19.3
| | SN(E/C) | 0.86
|
|
|
|
|
|
|
| 4630037
| 47
| | Red | Green | Blue
| | z | | 18.88
| | znorm | | 14.70
| | sky | 14.4 | 14.4 | 14.4
| | S/N | 12.1 | 20.0 | 19.9
| | S/N(c) | 11.1 | 18.8 | 18.7
| | SN(E/C) | 0.85
|
|
|
|
|
|
|
| 4630038
| 47
| | Red | Green | Blue
| | z | | 18.78
| | znorm | | 14.60
| | sky | 14.6 | 14.6 | 14.7
| | S/N | 11.3 | 19.2 | 19.2
| | S/N(c) | 10.2 | 18.1 | 18.0
| | SN(E/C) | 0.87
|
|
|
|
|
|
|
| 4630039
| 47
| | Red | Green | Blue
| | z | | 18.84
| | znorm | | 14.66
| | sky | 14.5 | 14.5 | 14.6
| | S/N | 11.6 | 19.7 | 19.7
| | S/N(c) | 10.7 | 18.7 | 18.6
| | SN(E/C) | 0.87
|
|
|
|
|
|
|
| 4630040
| 47
| | Red | Green | Blue
| | z | | 18.85
| | znorm | | 14.67
| | sky | 14.5 | 14.6 | 14.5
| | S/N | 11.9 | 20.2 | 20.2
| | S/N(c) | 11.1 | 19.1 | 19.0
| | SN(E/C) | 0.89
|
|
|
|
|
|
|
| 4630041
| 47
| | Red | Green | Blue
| | z | | 18.87
| | znorm | | 14.69
| | sky | 14.4 | 14.5 | 14.5
| | S/N | 12.1 | 19.9 | 20.0
| | S/N(c) | 11.1 | 18.9 | 18.8
| | SN(E/C) | 0.86
|
|
|
|
|
|
|