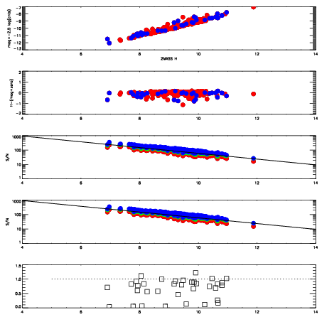
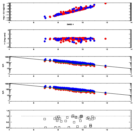
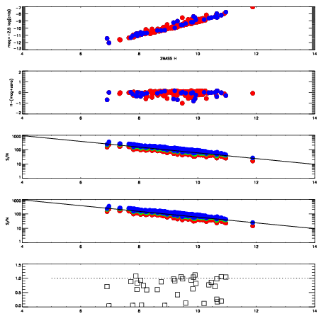
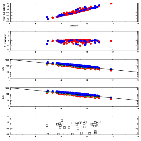
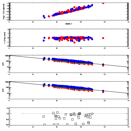
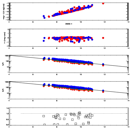
| Frame | Nreads | Zeropoints | Mag plots
| Spatial mag deviation
| Spatial sky 16325A emission deviations (filled: sky, open: star)
| Spatial sky continuum emission
| Spatial sky telluric CO2 absorption deviations (filled: H < 10)
|
| 4890073
| 47
| | Red | Green | Blue
| | z | | 18.98
| | znorm | | 14.80
| | sky | 14.3 | 14.2 | 14.5
| | S/N | 12.8 | 20.5 | 21.2
| | S/N(c) | 11.6 | 19.6 | 19.9
| | SN(E/C) | 0.77
|
|
|
|
|
|
|
| 4890074
| 47
| | Red | Green | Blue
| | z | | 19.12
| | znorm | | 14.94
| | sky | 14.4 | 14.3 | 14.4
| | S/N | 14.4 | 23.0 | 23.4
| | S/N(c) | 13.1 | 21.9 | 22.0
| | SN(E/C) | 0.78
|
|
|
|
|
|
|
| 4890075
| 47
| | Red | Green | Blue
| | z | | 19.00
| | znorm | | 14.82
| | sky | 14.5 | 14.3 | 14.4
| | S/N | 13.8 | 22.2 | 22.7
| | S/N(c) | 12.6 | 21.2 | 21.4
| | SN(E/C) | 0.76
|
|
|
|
|
|
|
| 4890076
| 47
| | Red | Green | Blue
| | z | | 19.04
| | znorm | | 14.86
| | sky | 14.3 | 14.3 | 14.4
| | S/N | 14.1 | 22.5 | 22.9
| | S/N(c) | 12.8 | 21.3 | 21.5
| | SN(E/C) | 0.78
|
|
|
|
|
|
|
| 4890077
| 47
| | Red | Green | Blue
| | z | | 19.07
| | znorm | | 14.89
| | sky | 14.5 | 14.3 | 14.4
| | S/N | 14.4 | 23.0 | 23.4
| | S/N(c) | 13.2 | 21.9 | 22.1
| | SN(E/C) | 0.78
|
|
|
|
|
|
|
| 4890078
| 47
| | Red | Green | Blue
| | z | | 19.09
| | znorm | | 14.90
| | sky | 14.3 | 14.3 | 14.4
| | S/N | 14.9 | 23.9 | 24.4
| | S/N(c) | 13.6 | 22.7 | 23.0
| | SN(E/C) | 0.78
|
|
|
|
|
|
|
| 4890079
| 47
| | Red | Green | Blue
| | z | | 19.16
| | znorm | | 14.98
| | sky | 14.5 | 14.3 | 14.5
| | S/N | 15.7 | 24.9 | 25.5
| | S/N(c) | 14.4 | 23.5 | 24.0
| | SN(E/C) | 0.75
|
|
|
|
|
|
|
| 4890080
| 47
| | Red | Green | Blue
| | z | | 19.09
| | znorm | | 14.91
| | sky | 14.3 | 14.3 | 14.4
| | S/N | 15.0 | 24.1 | 24.4
| | S/N(c) | 13.8 | 22.8 | 23.1
| | SN(E/C) | 0.76
|
|
|
|
|
|
|