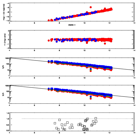
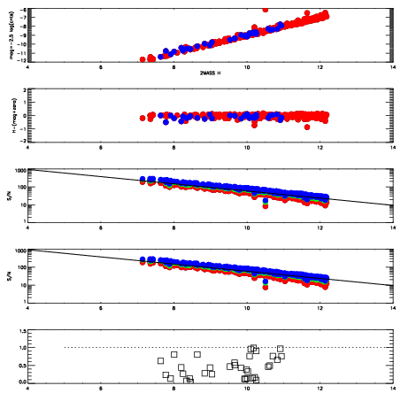
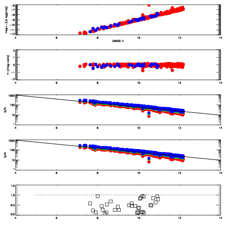
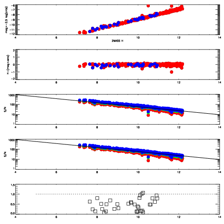
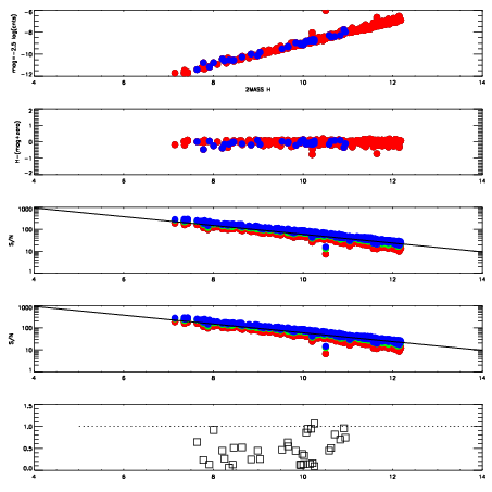
| Frame | Nreads | Zeropoints | Mag plots
| Spatial mag deviation
| Spatial sky 16325A emission deviations (filled: sky, open: star)
| Spatial sky continuum emission
| Spatial sky telluric CO2 absorption deviations (filled: H < 10)
|
| 5180033
| 47
| | Red | Green | Blue
| | z | | 18.94
| | znorm | | 14.76
| | sky | 13.8 | 13.5 | 13.4
| | S/N | 13.8 | 22.3 | 23.6
| | S/N(c) | 12.4 | 20.6 | 22.5
| | SN(E/C) | 0.48
|
|
|
|
|
|
|
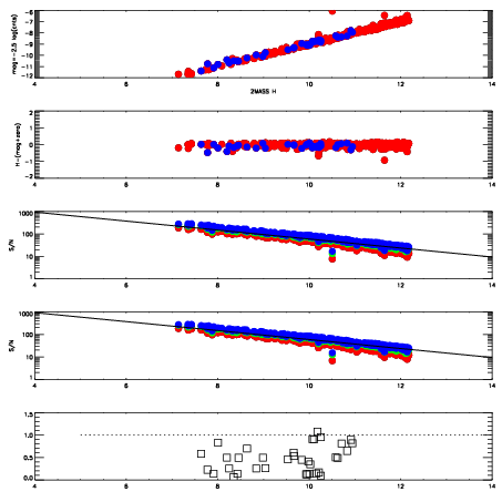
| 5180034
| 47
| | Red | Green | Blue
| | z | | 18.98
| | znorm | | 14.80
| | sky | 13.5 | 13.4 | 13.4
| | S/N | 14.0 | 22.6 | 24.6
| | S/N(c) | 12.5 | 20.8 | 23.2
| | SN(E/C) | 0.49
|
|
|
|
|
|
|
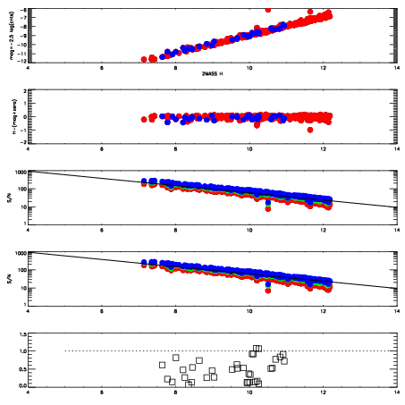
| 5180035
| 47
| | Red | Green | Blue
| | z | | 19.01
| | znorm | | 14.83
| | sky | 13.6 | 13.5 | 13.5
| | S/N | 14.5 | 23.1 | 24.9
| | S/N(c) | 12.8 | 21.4 | 23.4
| | SN(E/C) | 0.49
|
|
|
|
|
|
|
| 5180036
| 47
| | Red | Green | Blue
| | z | | 19.03
| | znorm | | 14.85
| | sky | 13.8 | 13.6 | 13.6
| | S/N | 14.7 | 23.8 | 26.0
| | S/N(c) | 13.2 | 22.0 | 24.4
| | SN(E/C) | 0.44
|
|
|
|
|
|
|
| 5180037
| 47
| | Red | Green | Blue
| | z | | 19.02
| | znorm | | 14.84
| | sky | 13.6 | 13.5 | 13.5
| | S/N | 14.5 | 23.4 | 25.0
| | S/N(c) | 12.8 | 21.9 | 23.5
| | SN(E/C) | 0.49
|
|
|
|
|
|
|
| 5180038
| 47
| | Red | Green | Blue
| | z | | 18.99
| | znorm | | 14.81
| | sky | 13.5 | 13.3 | 13.3
| | S/N | 14.3 | 22.6 | 24.7
| | S/N(c) | 12.5 | 20.8 | 23.1
| | SN(E/C) | 0.47
|
|
|
|
|
|
|
| 5180039
| 47
| | Red | Green | Blue
| | z | | 19.02
| | znorm | | 14.84
| | sky | 13.6 | 13.5 | 13.5
| | S/N | 14.7 | 23.6 | 25.7
| | S/N(c) | 13.0 | 22.0 | 24.2
| | SN(E/C) | 0.44
|
|
|
|
|
|
|
| 5180040
| 47
| | Red | Green | Blue
| | z | | 19.00
| | znorm | | 14.82
| | sky | 13.5 | 13.4 | 13.4
| | S/N | 14.4 | 23.0 | 25.1
| | S/N(c) | 12.6 | 21.3 | 23.6
| | SN(E/C) | 0.46
|
|
|
|
|
|
|