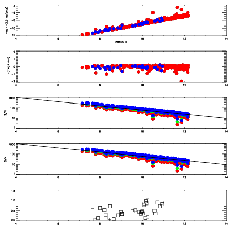
| Frame | Nreads | Zeropoints | Mag plots
| Spatial mag deviation
| Spatial sky 16325A emission deviations (filled: sky, open: star)
| Spatial sky continuum emission
| Spatial sky telluric CO2 absorption deviations (filled: H < 10)
|
| 8730033
| 47
| | Red | Green | Blue
| | z | | 19.00
| | znorm | | 14.82
| | sky | 14.0 | 13.6 | 13.5
| | S/N | 14.5 | 23.2 | 24.0
| | S/N(c) | 12.6 | 21.6 | 23.7
| | SN(E/C) | 0.44
|
|
|
|
|
|
|
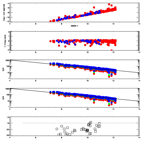
| 8730034
| 47
| | Red | Green | Blue
| | z | | 18.90
| | znorm | | 14.72
| | sky | 13.4 | 13.3 | 13.3
| | S/N | 13.1 | 21.2 | 22.7
| | S/N(c) | 11.2 | 19.4 | 21.5
| | SN(E/C) | 0.48
|
|
|
|
|
|
|
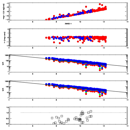
| 8730035
| 47
| | Red | Green | Blue
| | z | | 18.94
| | znorm | | 14.76
| | sky | 13.7 | 13.6 | 13.5
| | S/N | 13.4 | 22.1 | 23.1
| | S/N(c) | 11.9 | 20.5 | 22.5
| | SN(E/C) | 0.46
|
|
|
|
|
|
|
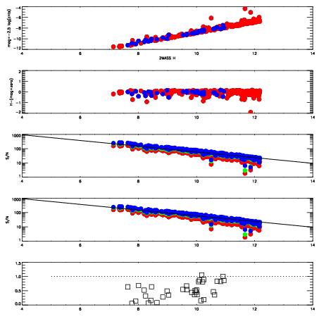
| 8730036
| 47
| | Red | Green | Blue
| | z | | 18.95
| | znorm | | 14.77
| | sky | 13.7 | 13.5 | 13.4
| | S/N | 13.4 | 22.4 | 23.8
| | S/N(c) | 12.1 | 20.6 | 22.5
| | SN(E/C) | 0.47
|
|
|
|
|
|
|
| 8730037
| 47
| | Red | Green | Blue
| | z | | 18.97
| | znorm | | 14.79
| | sky | 13.7 | 13.6 | 13.5
| | S/N | 13.4 | 22.2 | 24.2
| | S/N(c) | 12.1 | 20.5 | 23.2
| | SN(E/C) | 0.48
|
|
|
|
|
|
|
| 8730038
| 47
| | Red | Green | Blue
| | z | | 18.83
| | znorm | | 14.65
| | sky | 13.0 | 13.0 | 12.9
| | S/N | 11.5 | 18.9 | 21.1
| | S/N(c) | 10.2 | 17.3 | 20.0
| | SN(E/C) | 0.49
|
|
|
|
|
|
|
| 8730039
| 47
| | Red | Green | Blue
| | z | | 18.83
| | znorm | | 14.65
| | sky | 13.1 | 13.0 | 13.0
| | S/N | 11.4 | 18.9 | 20.9
| | S/N(c) | 10.3 | 17.2 | 20.0
| | SN(E/C) | 0.50
|
|
|
|
|
|
|
| 8730040
| 47
| | Red | Green | Blue
| | z | | 18.85
| | znorm | | 14.67
| | sky | 13.4 | 13.3 | 13.2
| | S/N | 12.6 | 20.2 | 21.2
| | S/N(c) | 10.8 | 18.0 | 20.8
| | SN(E/C) | 0.50
|
|
|
|
|
|
|