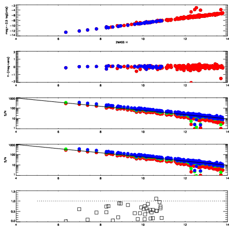
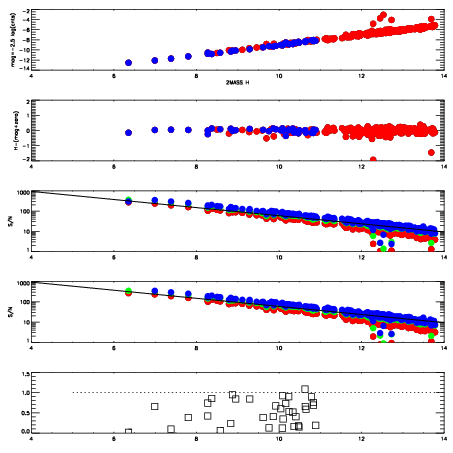
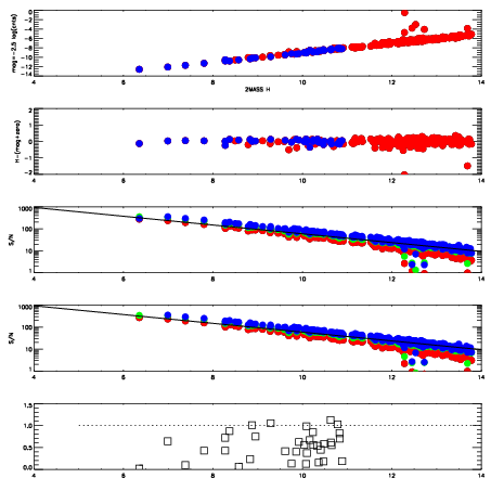
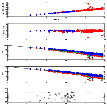
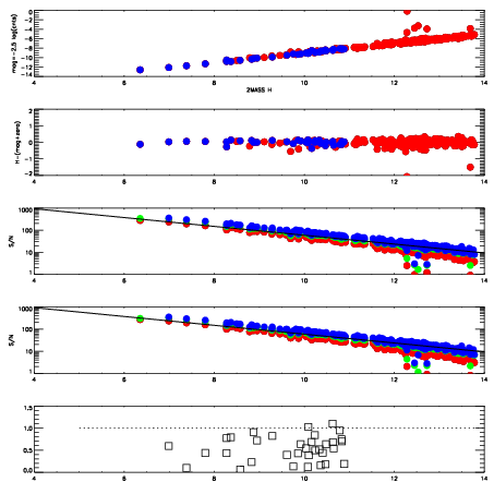
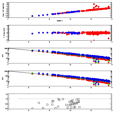
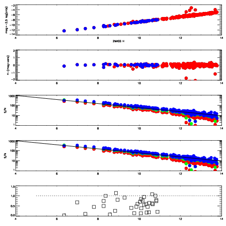
| Frame | Nreads | Zeropoints | Mag plots
| Spatial mag deviation
| Spatial sky 16325A emission deviations (filled: sky, open: star)
| Spatial sky continuum emission
| Spatial sky telluric CO2 absorption deviations (filled: H < 10)
|
| 4910058
| 47
| | Red | Green | Blue
| | z | | 18.83
| | znorm | | 14.65
| | sky | 14.6 | 14.3 | 14.4
| | S/N | 13.6 | 23.0 | 25.3
| | S/N(c) | 12.0 | 21.2 | 23.8
| | SN(E/C) | 0.60
|
|
|
|
|
|
|
| 4910059
| 47
| | Red | Green | Blue
| | z | | 18.71
| | znorm | | 14.53
| | sky | 14.7 | 14.4 | 14.7
| | S/N | 12.4 | 22.0 | 24.2
| | S/N(c) | 10.9 | 20.0 | 22.8
| | SN(E/C) | 0.62
|
|
|
|
|
|
|
| 4910060
| 47
| | Red | Green | Blue
| | z | | 18.93
| | znorm | | 14.75
| | sky | 14.5 | 14.5 | 14.7
| | S/N | 14.8 | 24.9 | 26.8
| | S/N(c) | 13.0 | 22.8 | 25.0
| | SN(E/C) | 0.57
|
|
|
|
|
|
|
| 4910061
| 47
| | Red | Green | Blue
| | z | | 19.04
| | znorm | | 14.86
| | sky | 14.6 | 14.4 | 14.7
| | S/N | 15.8 | 26.4 | 28.3
| | S/N(c) | 14.0 | 24.1 | 26.5
| | SN(E/C) | 0.53
|
|
|
|
|
|
|
| 4910062
| 47
| | Red | Green | Blue
| | z | | 19.05
| | znorm | | 14.87
| | sky | 14.6 | 14.6 | 14.7
| | S/N | 15.7 | 26.4 | 28.3
| | S/N(c) | 14.1 | 24.1 | 26.4
| | SN(E/C) | 0.54
|
|
|
|
|
|
|
| 4910063
| 47
| | Red | Green | Blue
| | z | | 19.03
| | znorm | | 14.85
| | sky | 14.8 | 14.7 | 14.8
| | S/N | 15.7 | 26.4 | 28.2
| | S/N(c) | 14.0 | 24.0 | 26.5
| | SN(E/C) | 0.55
|
|
|
|
|
|
|
| 4910064
| 47
| | Red | Green | Blue
| | z | | 19.04
| | znorm | | 14.86
| | sky | 14.8 | 14.8 | 14.8
| | S/N | 15.4 | 26.6 | 28.8
| | S/N(c) | 13.7 | 24.3 | 27.0
| | SN(E/C) | 0.53
|
|
|
|
|
|
|
| 4910065
| 47
| | Red | Green | Blue
| | z | | 19.05
| | znorm | | 14.87
| | sky | 14.8 | 14.9 | 14.9
| | S/N | 15.9 | 26.8 | 29.1
| | S/N(c) | 14.2 | 24.7 | 27.2
| | SN(E/C) | 0.55
|
|
|
|
|
|
|